EasyManua.ls Logo

Agilent Technologies E4417A - Figure 6-2 Troubleshooting Guide - TTL Output 1 (Continued)

Agilent Technologies E4417A
183 pages
Print Icon
To Next Page IconTo Next Page
To Next Page IconTo Next Page
To Previous Page IconTo Previous Page
To Previous Page IconTo Previous Page
Loading...
Troubleshooting 6
E4416A/E4417A Power Meters Service Guide 119
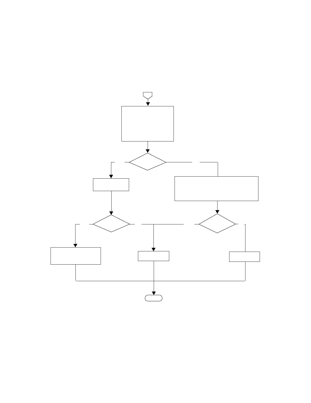
Figure 6-2 Troubleshooting Guide - TTL Output 1 (continued)
A
Select
Preset/local
Confirm
Meas/Setup
Limits
Limits On
TTL Output
TTL Output On, Fail O/P Low
Yes
Power down meter.
Disconnect ac power and battery if fitted.
Remove A2 Processor assy, as directed on page
5-9, to access the Comms Assembly connector.
Use DVM to check resistance between J4 pin 41
and Rmt I/O connector pin 3.
Yes
No Fault found with Upper
Window TTL Over Limit
detection circuit - check user
application/implementation
DVM reading
5.0V+/-0.5V?
DVM reading
0.0V+/-0.5V?
Yes
No
End
A4 Comms Assy
Defective
A2 Processor Assy
Defective
No
Select
Fail O/P High
DVM reading
450Ω +/- 10%
No
Artisan Technology Group - Quality Instrumentation ... Guaranteed | (888) 88-SOURCE | www.artisantg.com

Table of Contents

Other manuals for Agilent Technologies E4417A

Related product manuals