EasyManua.ls Logo

Burkert 8692 - Implemented PID Controller; D Portion with Delay; Function of the Real PID Controller

Burkert 8692
195 pages
Print Icon
To Next Page IconTo Next Page
To Next Page IconTo Next Page
To Previous Page IconTo Previous Page
To Previous Page IconTo Previous Page
Loading...
174
Type 8692, 8693
english
General Rules - Appendix
2.5 Implemented PID Controller
2.5.1 D Portion with Delay
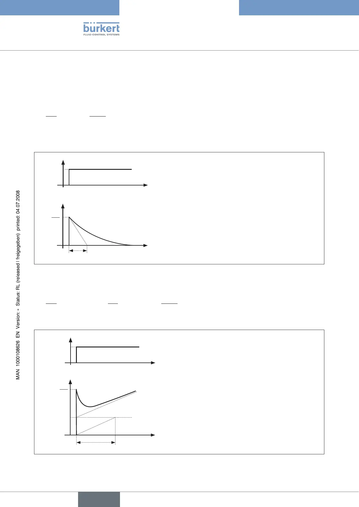
In the process controller of the positioner the D portion is implemented with a delay T.
Function:
(9)
t d
d X d
dK Y
t d
Y d
T =+
Superposition of P, I and DT Portions
X
Xd
Y
t
t
Xd
T
T
Fig. 5: Characteristic of superposition of P, I and DT Portions
2.5.2 Function of the Real PID Controller
(10)
t d
d X d
v Tt d d X
n T
1
d X ( pK Y
t d
Y d
T
++=+
Superposition of P, I and DT Portions
X
Xd
Y
t
t
Tn
KpXd
Xd
T
Kp
Fig. 6: Characteristic of step response of the Real PID Controller

Table of Contents

Other manuals for Burkert 8692

Related product manuals