EasyManua.ls Logo

Commodore 128D - Page 241

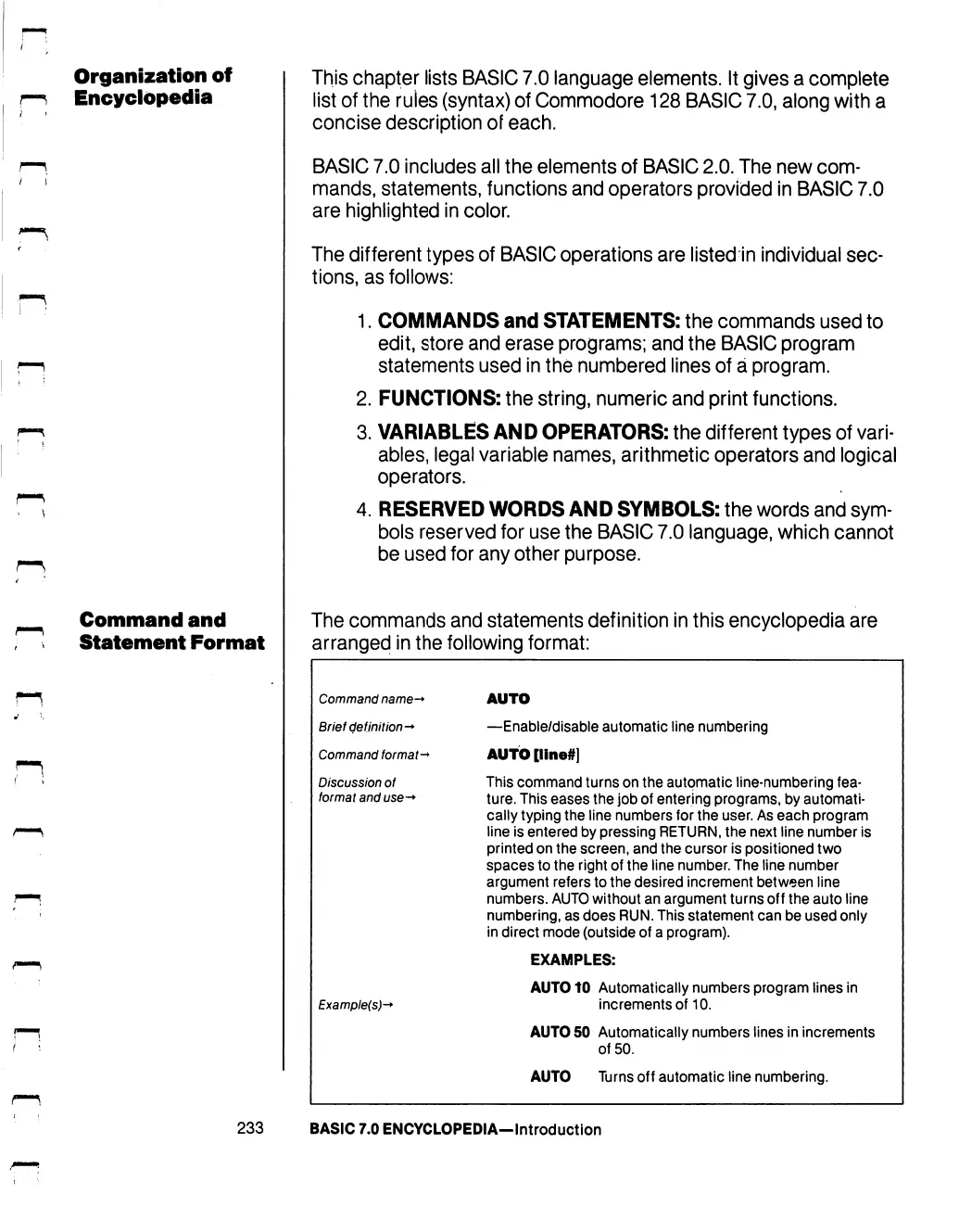
Commodore 128D
427 pages
Print Icon
To Next Page IconTo Next Page
To Next Page IconTo Next Page
To Previous Page IconTo Previous Page
To Previous Page IconTo Previous Page
Loading...

Table of Contents

Other manuals for Commodore 128D

Related product manuals