EasyManua.ls Logo

Commodore 128D - Page 361

Commodore 128D
427 pages
Print Icon
To Next Page IconTo Next Page
To Next Page IconTo Next Page
To Previous Page IconTo Previous Page
To Previous Page IconTo Previous Page
Loading...
IT
n
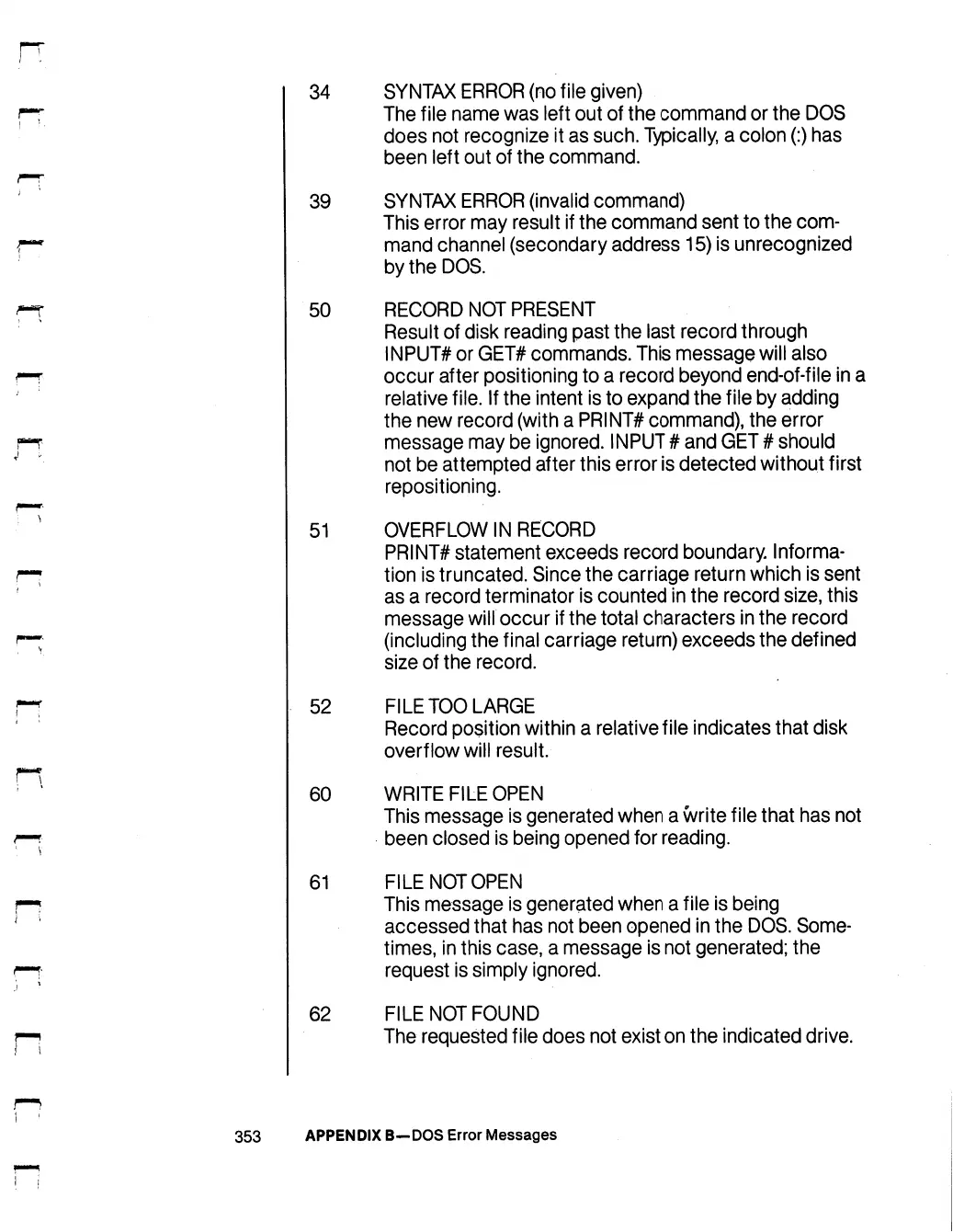
34
SYNTAX
ERROR
(no
file
given)
The
file
name
was
left
out
of
the
command
or
the
DOS
does
not
recognize
it
as
such.
Typically,
a
colon
(:)
has
been
left
out
of
the
command.
39
SYNTAX
ERROR
(invalid
command)
This
error
may
result
if
the
command
sent
to
the
com
mand
channel
(secondary
address
15)
is
unrecognized
by
the
DOS.
50
RECORD
NOT
PRESENT
Result
of
disk
reading
past
the
last
record
through
INPUT*
or
GET#
commands.
This
message
will
also
occur
after
positioning
to
a
record
beyond
end-of-file
in
a
relative
file.
If
the
intent
is
to
expand
the
file
by
adding
the
new
record
(with
a
PRINT*
command),
the
error
message
may
be
ignored.
INPUT
#
and
GET
#
should
not
be
attempted
after
this
error
is
detected
without
first
repositioning.
51
OVERFLOW
IN
RECORD
PRINT*
statement
exceeds
record
boundary
Informa
tion
is
truncated.
Since
the
carriage
return
which
is
sent
as
a
record
terminator
is
counted
in
the
record
size,
this
message
will
occur
if
the
total
characters
in
the
record
(including
the
final
carriage
return)
exceeds
the
defined
size
of
the
record.
52
FILE
TOO
LARGE
Record
position
within
a
relative
file
indicates
that
disk
overflow
will
result.
60
WRITE
FILE
OPEN
This
message
is
generated
when
a
write
file
that
has
not
been
closed
is
being
opened
for
reading.
61
FILE
NOT
OPEN
This
message
is
generated
when
a
file
is
being
accessed
that
has
not
been
opened
in
the
DOS.
Some
times,
in
this
case,
a
message
is
not
generated;
the
request
is
simply
ignored.
62
FILE
NOT
FOUND
The
requested
file
does
not
exist
on
the
indicated
drive.
353
APPENDIX
B-DOS
Error
Messages

Table of Contents

Other manuals for Commodore 128D

Related product manuals