EasyManua.ls Logo

Epson TM-U220A - PC852: Latin2)

Epson TM-U220A
97 pages
Print Icon
To Next Page IconTo Next Page
To Next Page IconTo Next Page
To Previous Page IconTo Previous Page
To Previous Page IconTo Previous Page
Loading...
Confidential
EPSON
TITLE
SHEET
REVISION
NO.
SHEETNEXT
A
TM-U220A
Specification
(
For Ar
g
entina Fiscal
)
24 23
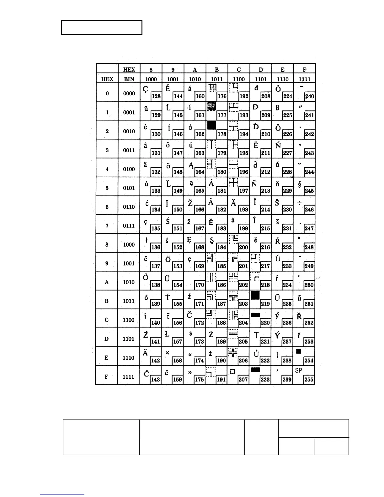
3.2.9 Page 18 (PC852: Latin2)
SP

Table of Contents

Related product manuals