EasyManua.ls Logo

Keithley 6482 - Format Subsystem; Data Format

Keithley 6482
350 pages
Print Icon
To Next Page IconTo Next Page
To Next Page IconTo Next Page
To Previous Page IconTo Previous Page
To Previous Page IconTo Previous Page
Loading...
16-28 Return to Section Topics 6482-901-01 Rev. A / August 2012
Section 16: SCPI Command Reference Model 6482 Dual-Channel Picoammeter / Voltage Source Reference Manual
FORMat subsystem
The commands for this subsystem are used to select the data format for transferring instrument
readings over the bus. These commands are summarized in Table 16-3.
Data format
[:DATA] <type>[,length]
:FORMat[:DATA] <type>[,<length>]Select data format
Parameters <type>[,<length>] =ASCiiASCII format
REAL,32 IEEE754 single precision format
SREal IEEE754 single precision format
NOTE <length> is not used for the ASCii or SREal parameters. It is optional for the REAL
parameter. If you do not use <length> with the REAL parameter, the <length> defaults to
32 (single precision format).
Query [:DATA]? Query data format
Description This command is used to select the data format for transferring readings over the
bus. Only the ASCII format is allowed over the RS-232 interface. This command
only affects the output of READ?, FETCh?, MEASure?, TRACe:DATA?,
CALCx:DATA? over the GPIB. All other queries are returned in the ASCII format.
NOTE Regardless of which data format for output strings is selected, the Model 6482 will only
respond to input commands using the ASCII format.
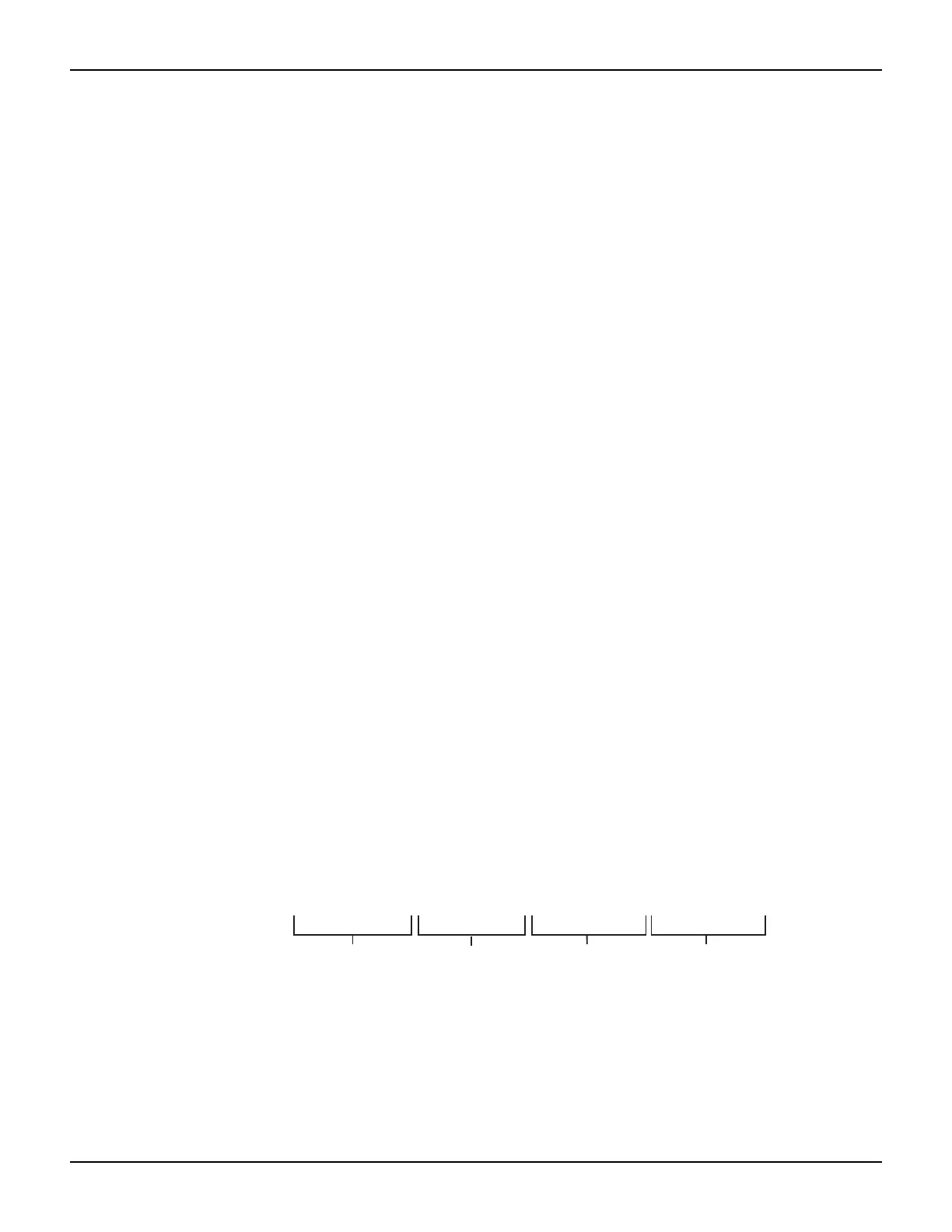
ASCII format
The ASCII data format is in a direct readable form for the operator. Most BASIC
languages easily convert ASCII mantissa and exponent to other formats. How-
ever, some speed is compromised to accommodate the conversion. Figure 16-1
shows an example ASCII string that includes current and voltage for one channel,
as well as time, and status data elements. See ELEMents <item list>.
Figure 16-1 also shows the byte order of the data string. Data elements not speci-
fied by the :ELEMents command are simply not included in the string.
Keep in mind that the byte order can only be reversed for the binary format. See
BORDer <name>.
Figure 16-1
ASCII data format
IEEE-754 single precision format
REAL, 32, or SREal will select the binary IEEE-754 single precision data format.
Figure 16-2 shows the normal byte order format for each data element. For exam-
ple, if three valid elements are specified, the data string for each reading conver-
sion is made up of three 4-byte data blocks. Note that the data string for each
reading conversion is preceded by a 2-byte header that is the binary equivalent of
an ASCII # sign and 0. Figure 16-2 does not show the byte for the terminator that
is attached to the end of each data string.
+1.000206E-03, +1.000000E-02, +7.282600E+01, +4.813200E+04
Channel 1
Reading
Channel 2
Reading
Time
Status

Table of Contents

Related product manuals