EasyManua.ls Logo

Panasonic AFPX-C30T - Page 362

Panasonic AFPX-C30T
544 pages
To Next Page IconTo Next Page
To Next Page IconTo Next Page
To Previous Page IconTo Previous Page
To Previous Page IconTo Previous Page
Loading...
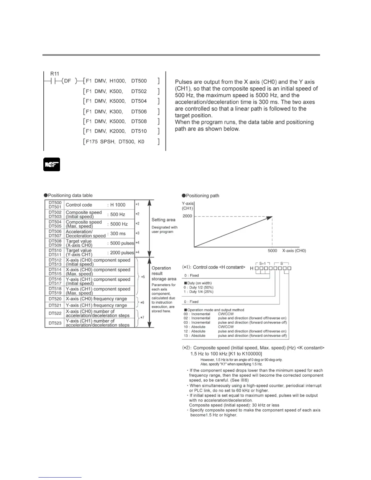
10.4.10 Pulse Output Instruction F175 Linear Interpolation
The linear interpolation controls positioning with two axes according to the specified data table.
Note:
The linear interpolation function can be used only when 2 units of the AFPX-PLS are being used.
Phone: 800.894.0412 - Fax: 888.723.4773 - Web: www.clrwtr.com - Email: info@clrwtr.com

Table of Contents

Related product manuals