EasyManua.ls Logo

Panasonic TH-65PF9UK - 1 Applicable Signals

Panasonic TH-65PF9UK
184 pages
Print Icon
To Next Page IconTo Next Page
To Next Page IconTo Next Page
To Previous Page IconTo Previous Page
To Previous Page IconTo Previous Page
Loading...
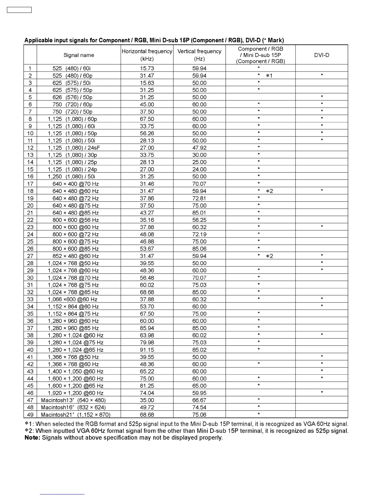
1 Applicable signals
4
TH-65PF9UK

Table of Contents

Related product manuals