EasyManua.ls Logo

Procon V3D - PID Regulation Examples and Hints

Procon V3D
88 pages
Print Icon
To Next Page IconTo Next Page
To Next Page IconTo Next Page
To Previous Page IconTo Previous Page
To Previous Page IconTo Previous Page
Loading...
H - I - J PROGRAMMER’S MANUAL V8.94.11-
- 24 -
An example for the regulation
At setting the PID parameters be very careful,
because the quality of the regulation depends on
this setting!
Prior to setting the parameters, clarify if the job
needs proportional regulation, PI regulation or really
a PID regulation?
The absolute limitation of the output frequency (f) is
built into the regulator therefore at reaching the limit
the I element will not be integrated off!
The limitation of the acceleration and deceleration
slopes of the output frequency (f) is independent of
the regulator. Setting wrong parameters (e.g. too
large deceleration time and short integration time)
may cause the regulator to be integrated off thus the
system to swing over.
Some hints
P (proportional): For simple regulations (e g. fluid
level regulation) it is practical to use proportional
regulation.
Thus, the set-in process is the fastest and there is
no tendency to swinging.
The regulation works with the minimum error (due
to the regulation being proportional to the error
signal) but this is not essential at these kinds of
applications. (Ti=N, Ad=0)
The PI regulation can be used at regulation tasks of
relatively high time constant.
(e g. pressure regulation with pumps or temperature
regulation with blowers etc.) (Ad=0)
PID regulation has to be used for fast regulations.
(e g. regulation of the rotation speed)
At adjusting Ad and Td special care has to be taken
to avoid swingings but maintain the speed of the
regulation!
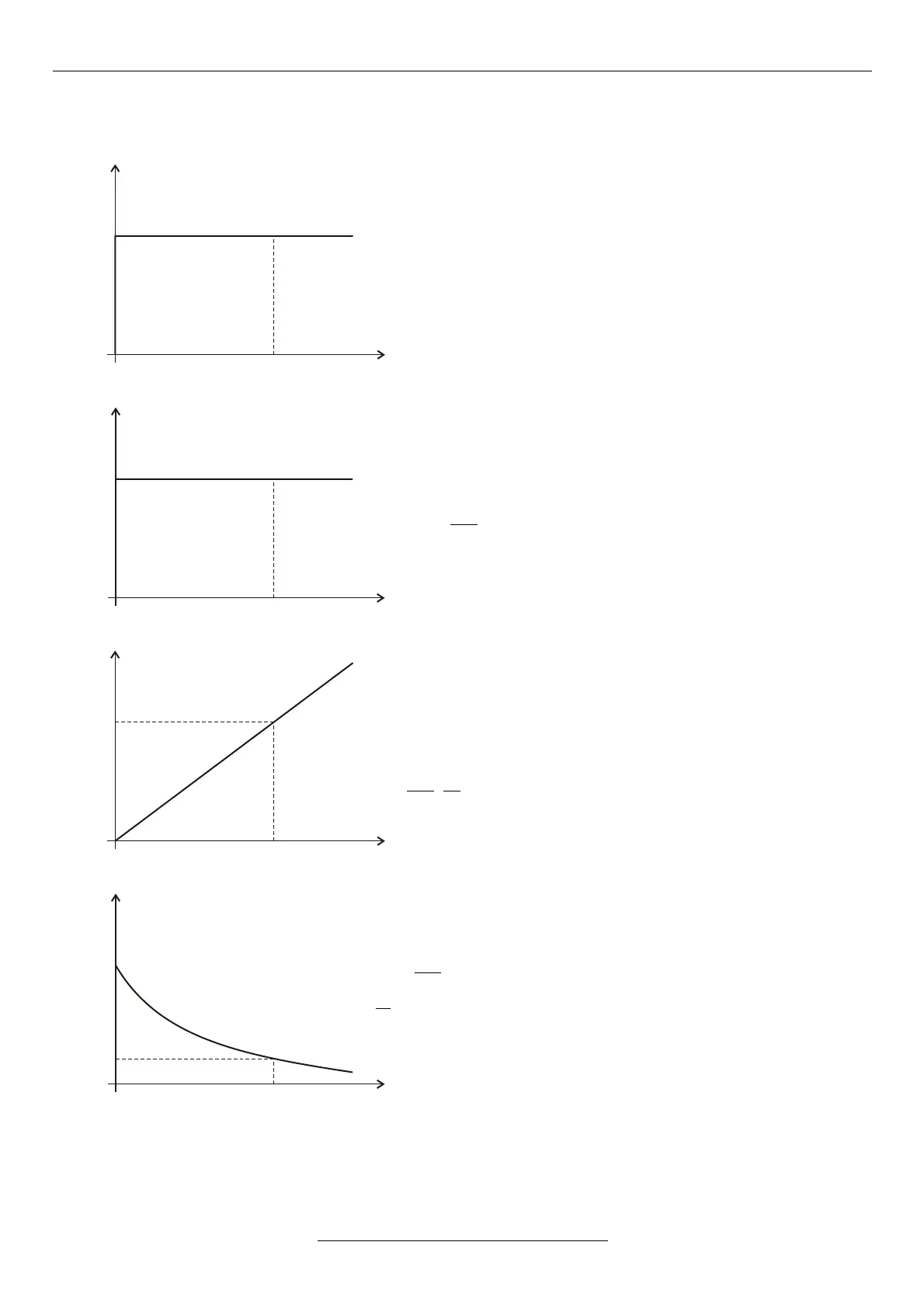
Error signal
h
1
t1
t
f
p
t1
t
f1
p
P
f
i
t1
t
I
f1
i
f
d
t1
t
D
f0
d
f1
d
( )
PminmaxminP
A
100
1h
fff1f +=
( )
DminmaxD
A
100
1h
ff0f =
D
T
1t
DD
e0f1f
=
( )
1T
1t
100
1h
ff1f
minmaxI
=

Table of Contents

Related product manuals