EasyManua.ls Logo

Siemens 3RS2 - Thermocouples; Definition; Characteristic Curves of Thermocouples

Siemens 3RS2
120 pages
Print Icon
To Next Page IconTo Next Page
To Next Page IconTo Next Page
To Previous Page IconTo Previous Page
To Previous Page IconTo Previous Page
Loading...
Thermocouples
8
8.1 De󹪝nition
A thermocouple is a sensor for electrical temperature monitoring. It is made from two di󹪜erent
interconnected metals. A di󹪜erence in temperature between the points where the two metals
come into contact (measuring junction) and the evaluation unit produces a thermal e.m.f. that
is directly dependent on this di󹪜erence (Seebeck e󹪜ect). As well as the di󹪜erence in
temperature, the types of metal used also determine the thermal e.m.f. Di󹪜erent types of metal
can be combined to create thermocouples with di󹪜erent measuring ranges.
A typical example is the type K thermocouple, which is made from a nickel/chrome wire and a
nickel/aluminum wire. The thermal e.m.f. is approx. 4 mV/100 K.
The main advantage of thermocouples is the wide temperature range they are able to cover.
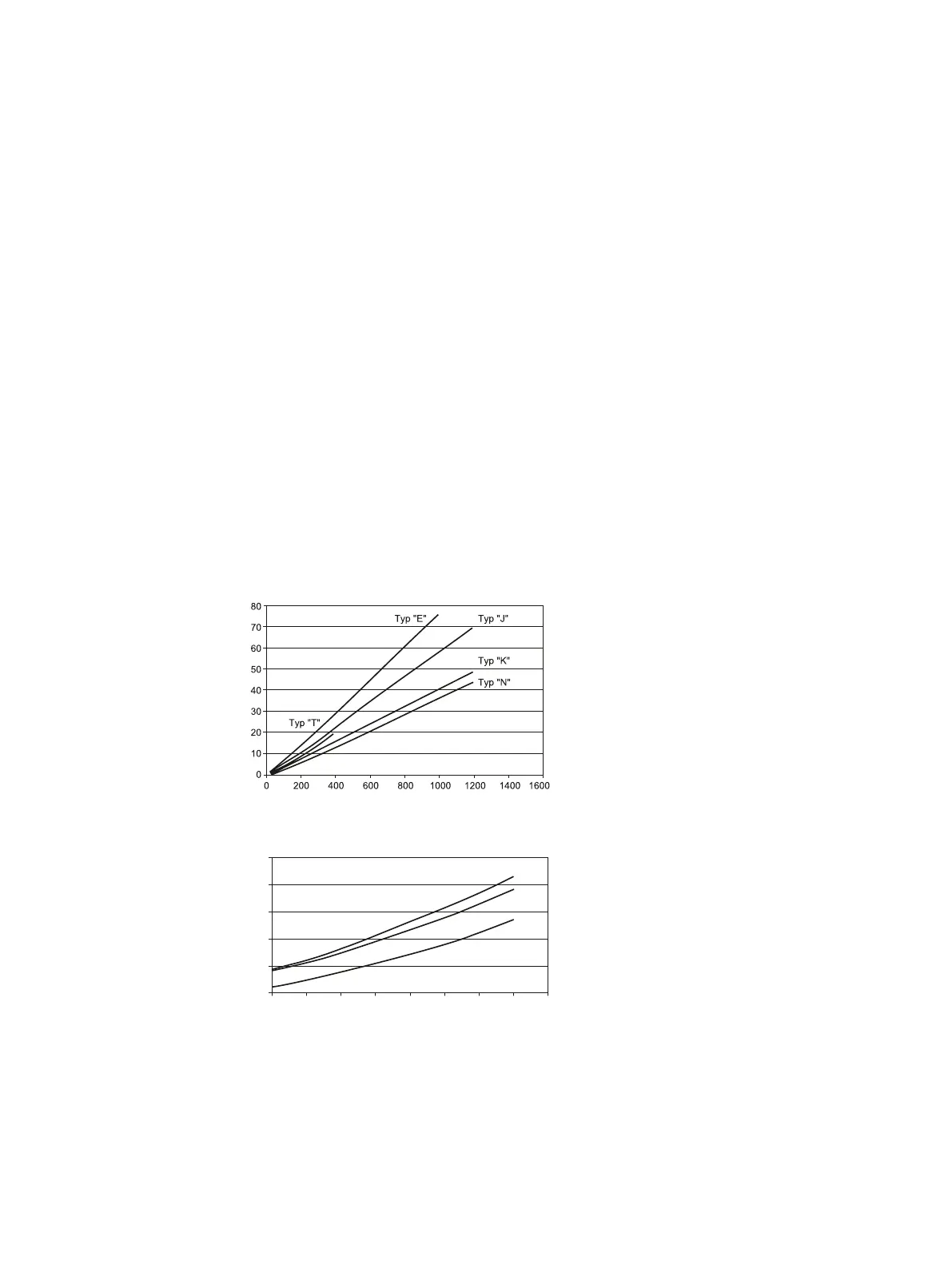
8.2 Characteristic curves of thermocouples
The following characteristic curves show the temperature ranges of the thermocouples:
r&
P9
Figure 8-1 Thermocouples J, K, T, E, N
r&
˩9









7\S6
7\S%
7\S5
Figure 8-2 Thermocouples S, R, B
3RS2 temperature monitoring relay
Equipment Manual, 02/2022, A5E42462552002A/RS-AB/002 67

Table of Contents

Related product manuals