EasyManua.ls Logo

Ulma ENKOFORM VMK - Betofilm Boards

Default Icon
82 pages
Print Icon
To Next Page IconTo Next Page
To Next Page IconTo Next Page
To Previous Page IconTo Previous Page
To Previous Page IconTo Previous Page
Loading...
ENKOFORM VMK

Construcción
63
ENKOFORM VMK
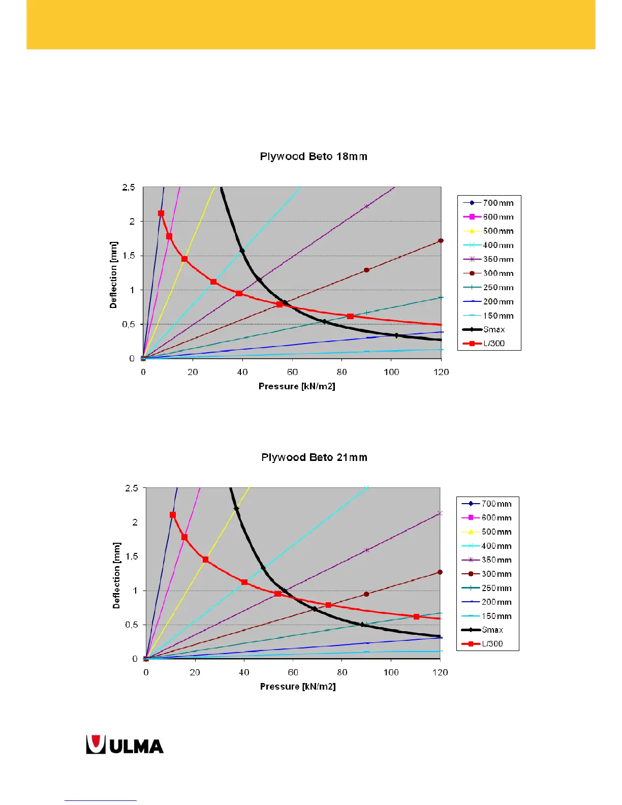
5.2.3 BETOFILM BOARDS
4.2.3.1 Plywood Betofilm (18mm)
4.2.3.2 Plywood Betofilm (21mm)

Table of Contents

Related product manuals