EasyManua.ls Logo

ACT apricot - Page 58

ACT apricot
328 pages
Print Icon
To Next Page IconTo Next Page
To Next Page IconTo Next Page
To Previous Page IconTo Previous Page
To Previous Page IconTo Previous Page
Loading...
INTERRUPT CONTROLLER
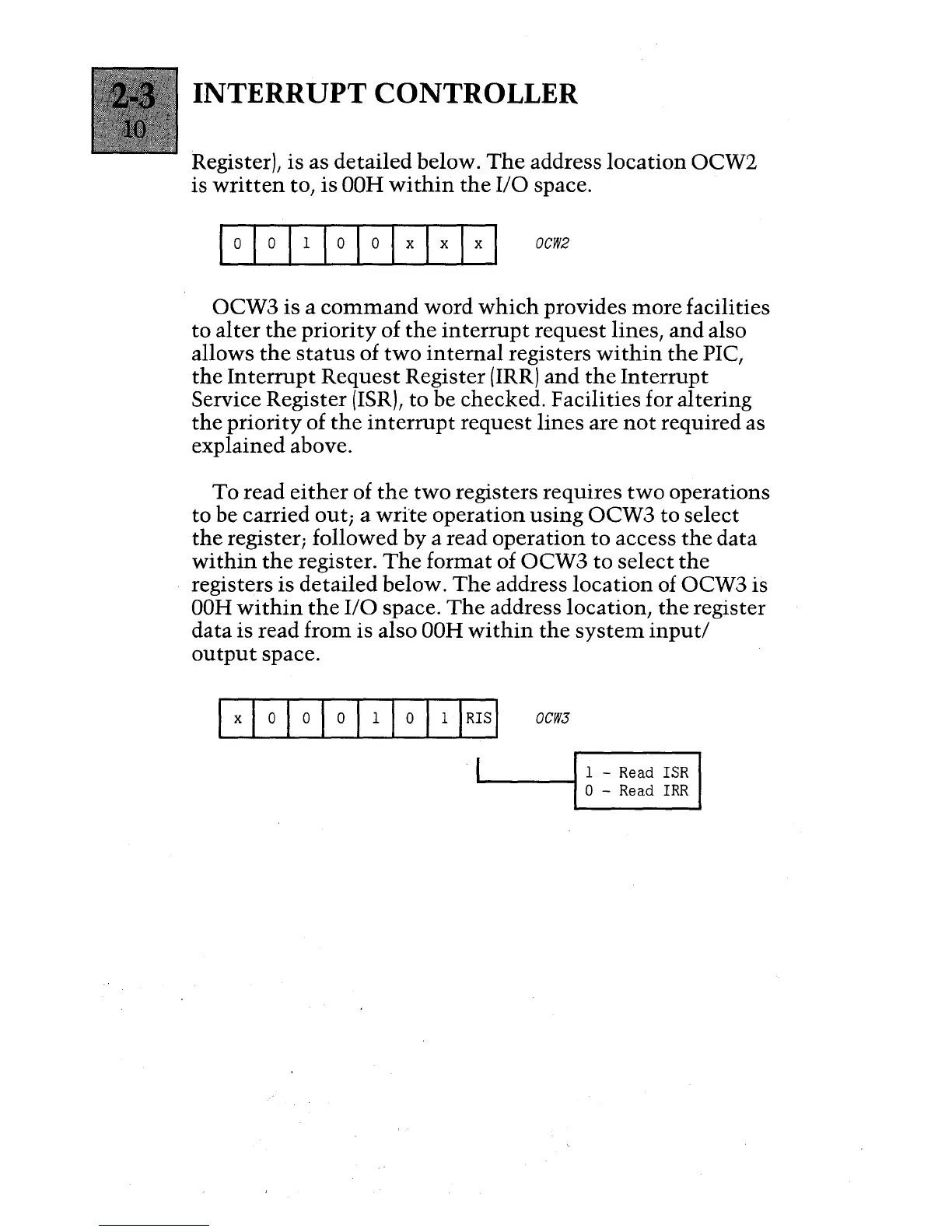
Register), is as
detailed
below.
The
address
location
OCW2
is
written
to,
is
OOH
within
the
I/O
space.
OCW3
is
a
command
word
which
provides
more
facilities
to
alter
the
priority
of
the
interrupt
request
lines,
and
also
allows
the
status
of
two
internal
registers
within
the
PIC,
the
Interrupt
Request
Register
(IRR)
and
the
Interrupt
Service Register
(ISR),
to
be checked. Facilities for altering
the
priority
of
the
interrupt
request
lines
are
not
required as
explained above.
To
read
either
of
the
two
registers requires
two
operations
to be carried
out;
a
write
operation
using
OCW3
to
select
the
register; followed by a read
operation
to
access
the
data
within
the
register.
The
format
of
OCW3
to
select
the
registers is detailed below.
The
address
location
of OCW3 is
OOH
within
the
I/O
space.
The
address location,
the
register
data is read
from
is also
OOH
within
the
system
input/
output
space.
I x I 0 I 0 I 0 I 1 I 0 I 1
IRIsl
OCW3
1 -
Read
ISR
1...-------1
0 _
Read
IRR

Table of Contents

Other manuals for ACT apricot