EasyManua.ls Logo

Delta M70A - Page 32

Delta M70A
146 pages
Print Icon
To Next Page IconTo Next Page
To Next Page IconTo Next Page
To Previous Page IconTo Previous Page
To Previous Page IconTo Previous Page
Loading...
5 Planning the installation
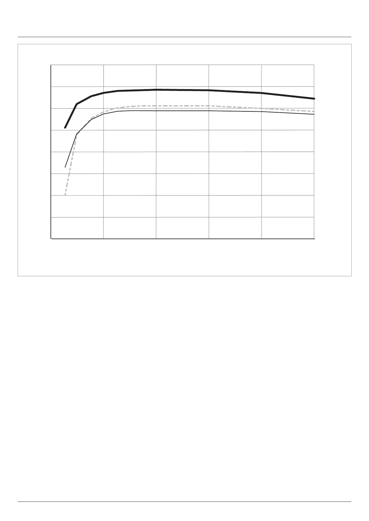
Characteristic curves
Installation and Operation Manual for Solar Power Inverter M70A EU V1.1 EN 2020-02-20
32
92%
94%
96%
98%
99%
97%
95%
93%
100%
0 20% 40% 60% 80% 100%
U
AC
= 400 V
AC
800 V
DC
600 V
DC
520 V
DC
AC Output power P/P
n
[%]; P
n
= 125 kW
Efficiency [%]
Fig. 5.29: Eciency characteristic curve

Table of Contents

Related product manuals