EasyManua.ls Logo

Denon AVR-2309CI

Denon AVR-2309CI
106 pages
To Next Page IconTo Next Page
To Next Page IconTo Next Page
To Previous Page IconTo Previous Page
To Previous Page IconTo Previous Page
Loading...
ENGLISH
I
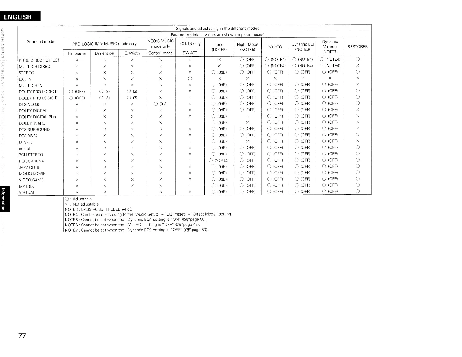
Signals and adjustability
in
the
different
modes
Parameter (default values are
shown
in parentheses)
Surround
mode
PRO LOGIC
Ulllx
MUSIC
mode
only
NEO:6
MUSIC
EXT
IN
only
Dynamic
mode
only
Tone
Night
Mode
MultEO
Dynamic
EO
Volume
RESTORER
Panorama
Dimension
(Width
Center Image
SWAn
(NOTE5) (NOTE5)
(NOTE6)
{NOTE7!
PURE
DIRECT.
DIRECT
x
x
x x
x
x
o {OFFI
o (NOTE4) o
(NOTE41
o (NOTE4)
0
MULTI
CH
DIRECT
X
X X
X
X
X
o {OFF! o
{NOTE41
o (NOTE4)
o (NOTE4)
x
STEREO
x
X
X X
X
o
(OdBI
o {OFF! o (OFFI
o
(OFF)
o (OFF)
0
EXT
IN
X
X X
X
0
X X
X
X X
X
MULTI
CH
IN
X
X
X X
X
o
(OdB)
o (OFF! o (OFFI
o
(OFF)
o (OFF)
x
DOLBY
PRO
LOGIC Ux
o (OFF)
o
(3)
o
(3)
x x
o
(OdB!
o (OFF) o (OFF)
o
(OFF)
o (OFF)
0
DOLBY
PRO
LOGIC U
o (OFF)
0(3)
o
(3)
x x
o
(OdBI
o (OFF) o (OFF)
o
(OFF)
o (OFF)
0
DTS NEO:6
X
X
X
o
(03)
x o
(OdB)
o (OFF) o (OFF)
o
(OFF)
o (OFF)
0
DOLBY DIGITAL
X
X
X
X X
o
(OdB)
o (OFF)
o (OFF) o
(OFF)
o (OFF!
x
DOLBY DIGITAL Plus
x
x
X
x x o
(OdB)
x o (OFF) o
(OFF)
o (OFF)
x
DOLBY TrueHD
X
X
X
X
X
o
(OdB!
x o (OFF) o
(OFF)
o (OFF!
x
DTS SURROUND
X
X
X
X
X
o
(OdB)
o (OFF)
o (OFF)
o
(OFF)
o (OFF)
X
DTS-96/24
x
X
X
X X
o
(OdB!
o (OFF)
o (OFF) o
(OFF)
o (OFF!
x
DTS-HD
x
x
x
x
x
o
(OdB!
x o (OFF) o
(OFF)
o (OFF)
x
neural
X
X
X
X
X
o
(OdB)
o (OFF)
o (OFF)
o
(OFF)
o (OFF)
0
7CH STEREO
X
X
X
X
X
o
(OdB)
o (OFF) o
(OFF)
o
(OFF)
o (OFF)
0
ROCK ARENA
X
X
X
X
X
o (NOTE3)
o (OFF) o
(OFF)
o
(OFF)
o (OFFI 0
JAZZ CLUB
x
x
x
x
x
o
(OdB)
o (OFF) o (OFF)
o
(OFF)
o (OFF!
0
MONO
MOVIE
X X
X
X
X
o
(OdB)
o (OFF) o
(OFF)
o
(OFF)
o (OFFI
0
VIDEO GAME
x
x
x X
X
o
(OdB)
o (OFF) o
(OFF)
o
(OFF)
o (OFFI
0
MATRIX
x X
x x
x
o
(OdB!
o (OFF) o
(OFF)
o
(OFF)
o (OFFI
0
VIRTUAL
x X
x
x
x o
(OdB)
o (OFF)
o
(OFF)
o
(OFF)
o (OFF)
0
0:
Adjustable
X :
Not
adjustable
NOTE3 :
BASS
+6
dB, TREBLE +4 dB
NOTE4 :
Can be used according
to
the
"Audio
Setup"
-
"EO
Preset" -
"Direct
Mode"
setting.
NOTE5
: Cannot be
set
when
the
"Dynamic
EO"
setting
is
"ON"
(Gf'page
50)
NOTE6
. Cannot be
set
when
the
"MultEO"
setting is
"OFF"
(Gf'page
49)
NOTE7
. Cannot be set
when
the
"Dynamic
EO"
setting
is
"OFF"
(Gf'page
50)
77

Table of Contents

Other manuals for Denon AVR-2309CI

Related product manuals