EasyManua.ls Logo

Excillum MetalJet D2+ - Page 76

Excillum MetalJet D2+
103 pages
Print Icon
To Next Page IconTo Next Page
To Next Page IconTo Next Page
To Previous Page IconTo Previous Page
To Previous Page IconTo Previous Page
Loading...
METALJET D2+ MAINTENANCE AND SERVICE
Revision 19, November 2016 Page 6-5
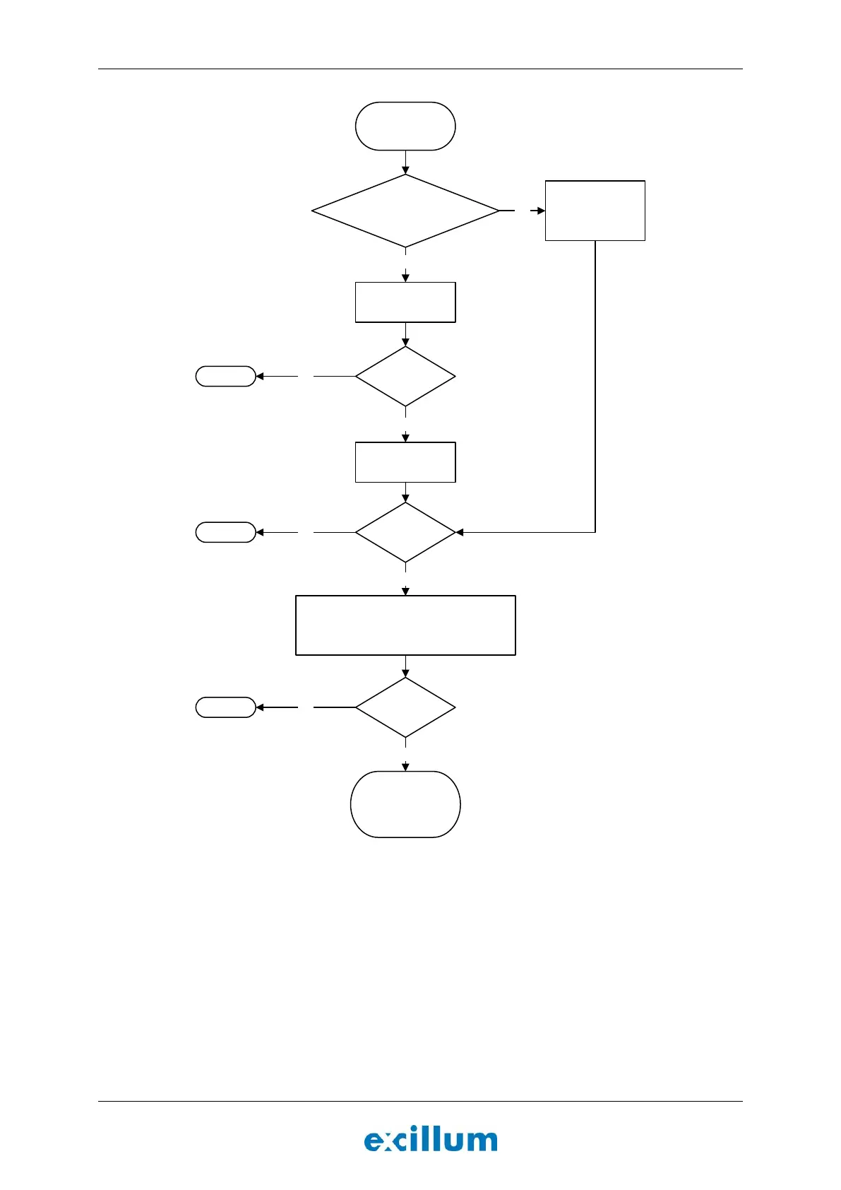
START
Jet was stopped for
some reason
Restart source
Stable jet?
Section 5.8.4
YesEnd
Do you want to maximize
startup reliability?
No
Yes
Replace nozzle &
restart source
No
Replace nozzle &
restart source
Stable jet?
Section 5.8.4
YesEnd
No
First contact Excillum support. Replace liquid-
metal particle filter and then nozzle as
described in Section 6.2.5.
Claim warranty for nozzle and filter.
Stable jet?
Section 5.8.4
End Yes
No
Contact Excillum
support for further
troubleshooting.
Figure 6-1. Flowchart showing the decision process for nozzle and filter replacement.
Manufacturer information: Follow recommendation above.
Service instructions: Service manual under Section Replace nozzle assembly.

Table of Contents