EasyManua.ls Logo

HP 8921A - Call Processing State Diagram

HP 8921A
601 pages
Print Icon
To Next Page IconTo Next Page
To Next Page IconTo Next Page
To Previous Page IconTo Previous Page
To Previous Page IconTo Previous Page
Loading...
112
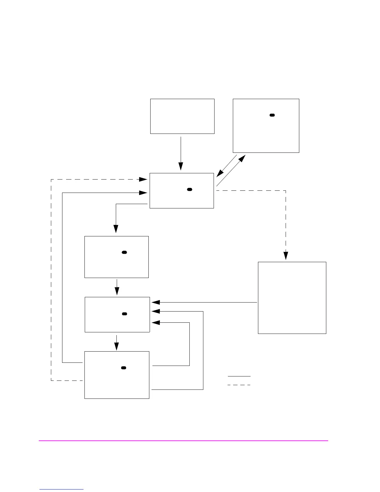
Chapter 6, Call Processing Subsystem
Description of the Call Processing Subsystem
Figure 13 Call Processing State Diagram
State: Active
Meas: None
Annunciator:
Active
Active
State: Idle
Meas: None
Annunciator:
None
State: Register
Meas:RECCW A
Annunciator:
Register
Phone Number
ESN (hexadecimal)
Register
END key pressed
while on an active
voice channel
State: Originate
SEND key pressed
while Roaming
or in Service mode
State: Page
Annunciator:
Page
Meas:RECCW A
RECCW B
RECCW C
Page
State: Access
Meas: None
Annunciator:
Access
State: Connected
Meas:RVCOrdCon
Annunciator:
Connect
TX Freq Error
TX Power
FM Deviation
Meas:RECCW A
RECCW B
RECCW C
RECCW D
RECCW E
Release
Handoff
Phone Number
ESN (hexadecimal)
SCM
Called number
RECCW B
RECCW C
SCM
Annunciator:
None
Order
= event initiated from Test Set
= event initiated from Mobile
Station

Table of Contents

Other manuals for HP 8921A

Related product manuals