EasyManua.ls Logo

Matrox RT.X100 Xtreme - Recommended MPEG Data Rates for Distribution on DVD-R or CD-R

Matrox RT.X100 Xtreme
314 pages
Print Icon
To Next Page IconTo Next Page
To Next Page IconTo Next Page
To Previous Page IconTo Previous Page
To Previous Page IconTo Previous Page
Loading...
267
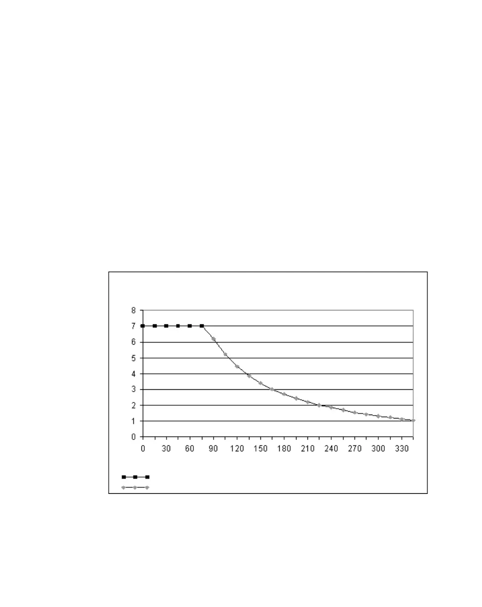
Recommended MPEG data rates for distribution on DVD-R or CD-R
Recommended MPEG data rates for
distribution on DVD-R or CD-R
The following charts show the data rate you should select when creating MPEG
files to get the best video quality for your DVD projects. These data rates are
calculated according to the length of your project and the size of your distribution
medium. When disk space is not an issue, such as when your project is short,
you’ll get the best quality using a high constant bit rate (that is, 7 Mbits/sec).
When disk space is at a premium, you should use a variable bit rate.
At data rates of 2 Mbits/sec and higher, you can use Adobe Premiere to either
capture or export the desired video to an MPEG-2 Elementary (.m2v) file (see
“Defining your Capture settings” on page 55 and “Performing a Matrox realtime
export to disk” on page 65). At data rates lower than 2 Mbits/sec, you’ll need to
create an MPEG-1 file. You can do this using the Ligos MPEG encoder provided
with Matrox MediaExport (see Chapter 9, “Using Matrox MediaExport”).
¦NoteThese charts assume that your DVD project includes 48-kHz, 16-bit
stereo audio. Be aware that your DVD authoring program may create additional
files that will limit the amount of space available for your DVD project.
Constant bit rate
Variable bit rate
Time (minutes)
Recommended data rates for 4.7-GB DVD
M
b
i
t
s
/
s
e
c

Table of Contents

Related product manuals