EasyManua.ls Logo

Metrohm 780 - Page 37

Metrohm 780
177 pages
Print Icon
To Next Page IconTo Next Page
To Next Page IconTo Next Page
To Previous Page IconTo Previous Page
To Previous Page IconTo Previous Page
Loading...
3 Short operating tutorial
780/781 pH/Ion Meter, Manual
27
'fc
781 pH/Ion Meter 01104 5.781.0010
date 2004-05-13 09:20:50
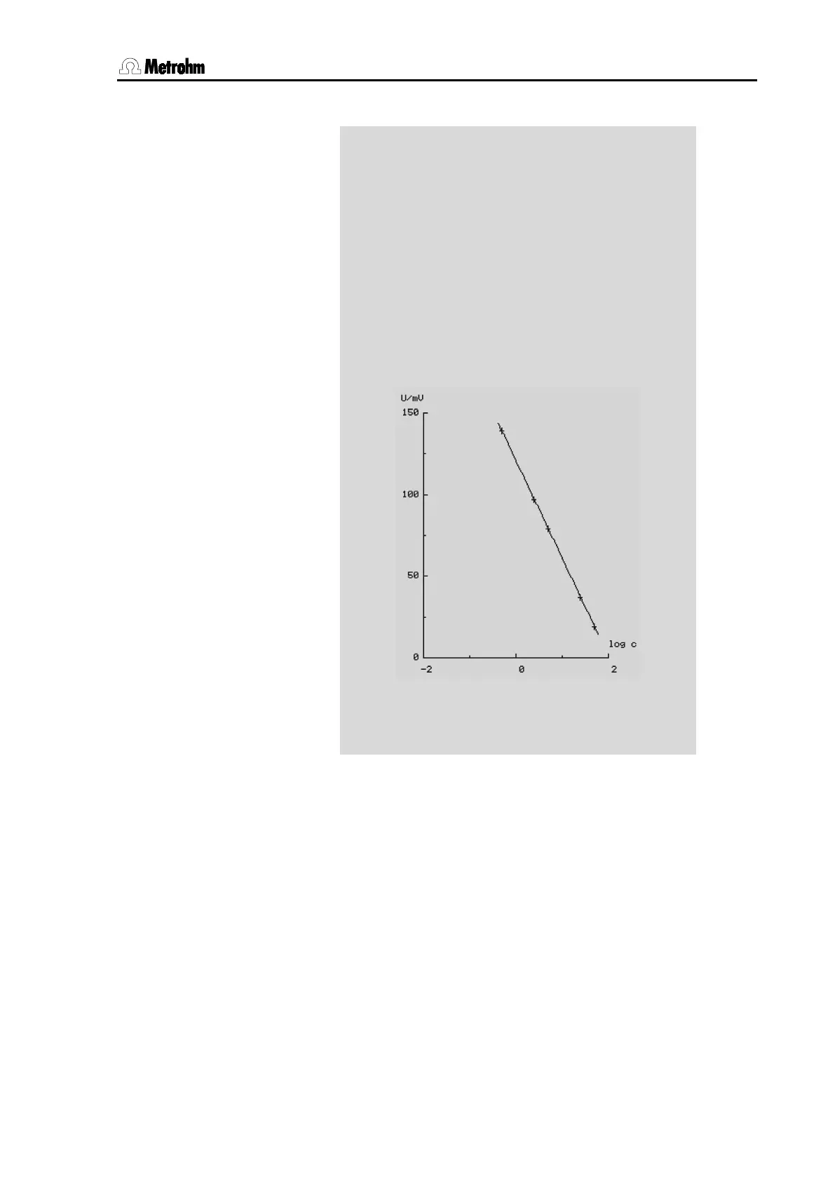
Conc ******** run number 1
electr.Id
conc.calibration
ion type F(-1)
temperature 22.7 °C
temp.sensor Pt1000
c.dat. 2004-05-12 09:32
conc/ppm U/mV dconc/%
std. 1 5.00E-01 139.9 0.2
std. 2 2.50E+00 97.0 0.1
std. 3 5.00E+00 78.8 -0.6
std. 4 2.50E+01 37.1 -0.2
std. 5 5.00E+01 19.2 0.4
variance 0.014
slope -59.9 mV
E(0) 120.8 mV
c(blank) 0.00E+00 ppm
==============

Table of Contents

Related product manuals