EasyManua.ls Logo

Motorola ATS 3000 - Page 207

Motorola ATS 3000
914 pages
Print Icon
To Next Page IconTo Next Page
To Next Page IconTo Next Page
To Previous Page IconTo Previous Page
To Previous Page IconTo Previous Page
Loading...
6816985H01-F February 14, 2012
UHF1 Troubleshooting Charts: VOCON Receive Audio Troubleshooting Chart 6.2-17
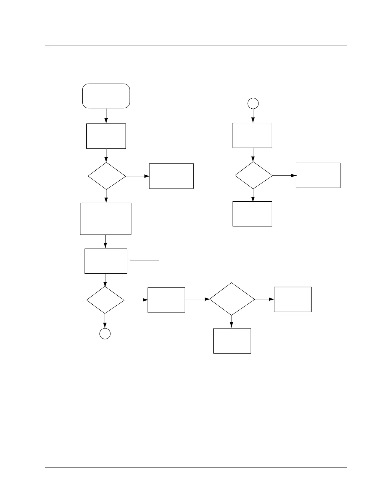
6.2.18VOCON Receive Audio Troubleshooting Chart
Audio
present?
Check
distortion of
signal at R844
and/or R798
THD < 2 %
Replace
U701
Check
contacts at
J650
MAEPF-27347-O
Connections
OK?
Y
e
s
No
Y
es
Y
es
No
No
Bad SINAD
No
Recovered
Audio
Check speaker
integrity
Connections
OK?
No
1
1
Y
es
Replace
Speaker
Connect an RLN4460
test box (or equivalent)
to the radio side
connector via a
programming cable
Inject Standard
Input into antenna
connector
A standard input is an RF
signal at -47 dBm with a 1
kHz tone modulated at 3
kHz for a 25kHz channel
Check Rx SAP
port signal
integrity as per
Chapter 7
Replace
U800
Replace
U701

Table of Contents

Related product manuals