EasyManua.ls Logo

Rosemount 8732 - Page 86

Rosemount 8732
190 pages
Print Icon
To Next Page IconTo Next Page
To Next Page IconTo Next Page
To Previous Page IconTo Previous Page
To Previous Page IconTo Previous Page
Loading...
Reference Manual
00809-0100-4663, Rev BA
January 2010
Rosemount 8732
A-2
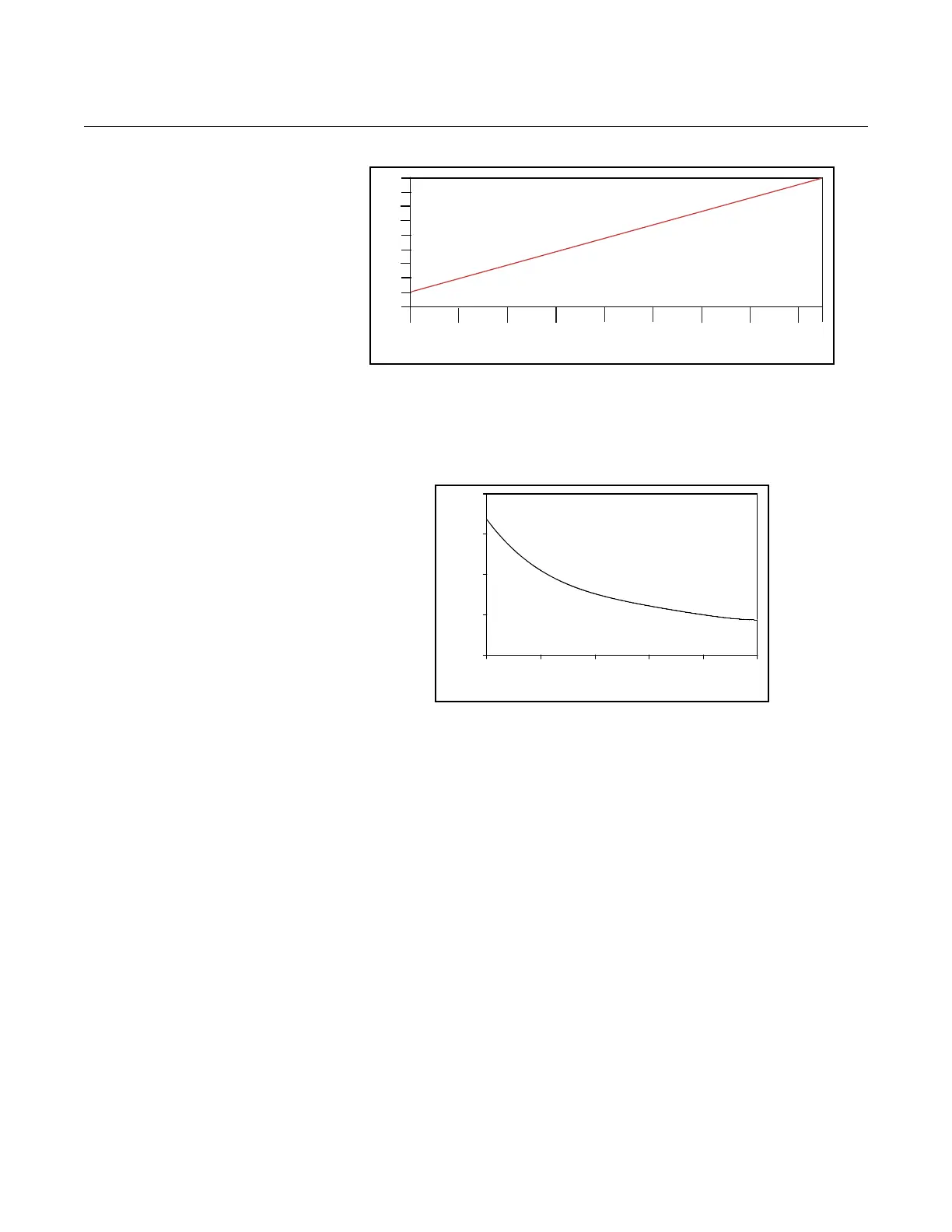
Figure A-2. Apparent Power
DC Supply Current Requirements
Units powered by 12-42 V DC power supply may draw up to 1 amp of current
steady state.
Figure A-3. DC Current
Requirements
Installation Coordination
Installation (overvoltage) Category II
Power Consumption
10 watts maximum
Switch-on current
AC: Maximum 26 A (< 5 ms) at 250 V AC
DC: Maximum 30 A (< 5 ms) at 42 V DC
Ambient Temperature Limits
Operating
–58 to 165 °F (–50 to 74 °C) without local operator interface
13 to 149 °F (–25 to 65 °C) with local operator interface
Storage
–40 to 185 °F (–40 to 85 °C)
–22 to 176 °F (–30 to 80 °C) with local operator interface
Humidity Limits
0–100% RH to 150 °F (65 °C)
80 100 120 140 160 180 200 220 240
Power Supply Voltage (AC RMS)
20
22
24
26
28
30
32
34
36
38
Apparent Power (VA)
250
0
0.25
0.5
0.75
1
12 18 24 30 36 42
Power Supply (Volts)
Supply Current (Amps)

Table of Contents

Related product manuals