EasyManua.ls Logo

Rosemount 8732 - Functional Specifications; APPENDIX A Functional Specifications

Rosemount 8732
190 pages
Print Icon
To Next Page IconTo Next Page
To Next Page IconTo Next Page
To Previous Page IconTo Previous Page
To Previous Page IconTo Previous Page
Loading...
Reference Manual
00809-0100-4663, Rev BA
January 2010
Rosemount 8732
www.rosemount.com
Appendix A Reference Data
Functional Specifications . . . . . . . . . . . . . . . . . . . . . . . . .page A-1
Foundation™ fieldbus Specifications . . . . . . . . . . . . . . .page A-4
Performance Specifications . . . . . . . . . . . . . . . . . . . . . . . page A-5
Physical Specifications . . . . . . . . . . . . . . . . . . . . . . . . . . .page A-7
FUNCTIONAL
SPECIFICATIONS
Sensor Compatibility
Compatible with Rosemount 8705, 8711, 8721, and 570TM sensors.
Compatible with Rosemount 8707 sensor with D2 Dual calibration option.
Compatible with AC and DC powered sensors of other manufacturers.
Sensor Coil Resistance
350 maximum
Flow Rate Range
Capable of processing signals from fluids that are traveling between 0.04 and
39 ft/s (0.01 to 12 m/s) for both forward and reverse flow in all sensor sizes.
Full scale continuously adjustable between –39 and 39 ft/s (–12 to 12 m/s).
Conductivity Limits
Process liquid must have a conductivity of 5 microsiemens/cm (5
micromhos/cm) or greater for 8732E. Excludes the effect of interconnecting
cable length in remote mount transmitter installations.
Power Supply
90 -250 V AC ±10%, 50–60 Hz or 12-42 V DC
AC Power Supply Requirements
Units powered by 90-250 V AC have the following power requirements.
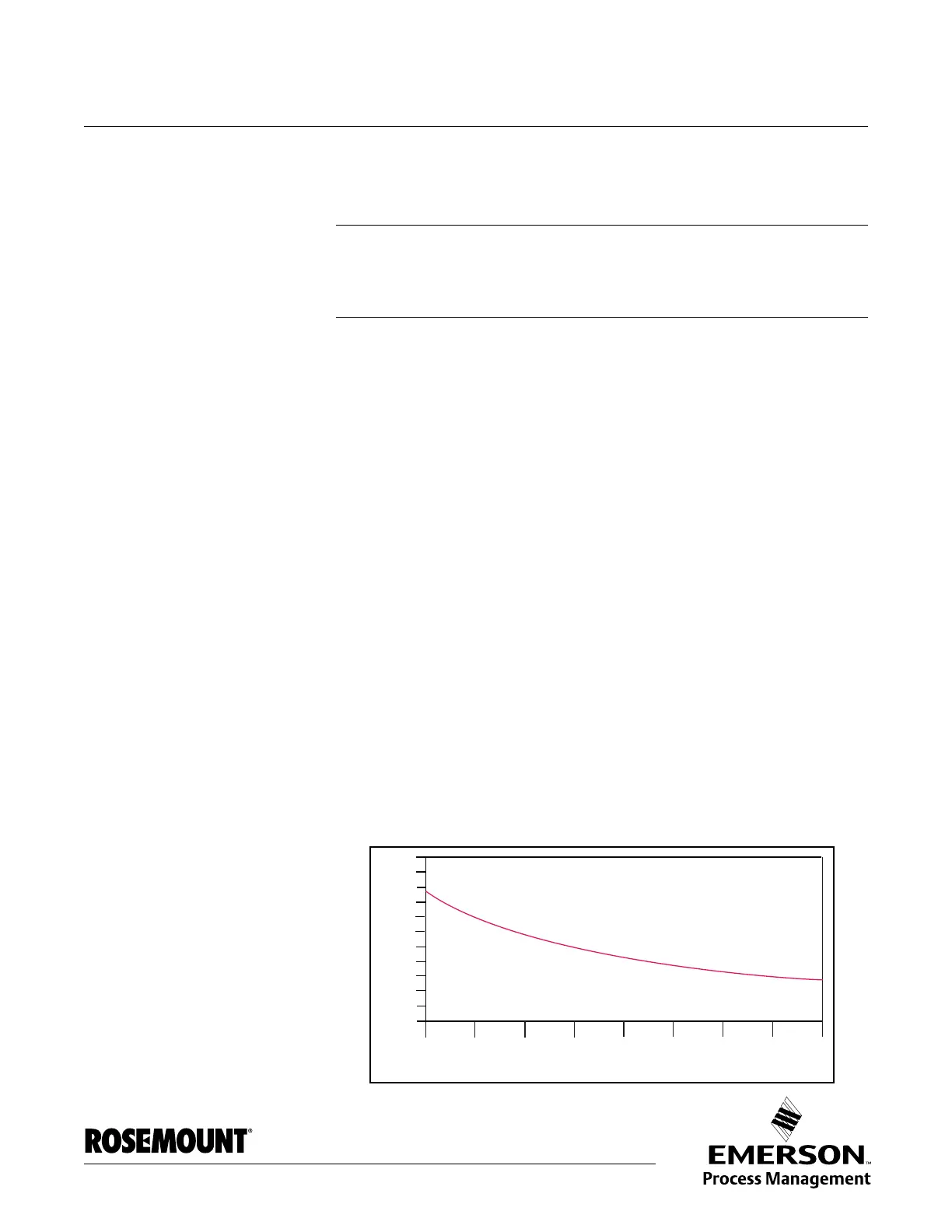
Figure A-1. AC Current
Requirements
Supply Current (Amps)
0.100
0.120
0.140
0.180
0.200
0.220
0.240
0.260
0.280
0.300
0.320
0.160
80 100 120 140 160 180 200 220 240
Power Supply Voltage (AC RMS)

Table of Contents

Related product manuals