EasyManua.ls Logo

TDK-Lambda GH10-100 - LIST Mode Example

TDK-Lambda GH10-100
190 pages
Print Icon
To Next Page IconTo Next Page
To Next Page IconTo Next Page
To Previous Page IconTo Previous Page
To Previous Page IconTo Previous Page
Loading...
137
4. Initialize trigger system:
4.1. Rotate the Voltage encoder until TRIG INIT appears.
4.2. Press Current encoder to initialize trigger system. TRIG ABORT appears on the display,
TRIG indicator is on.
4.3. Press BACK Button, Main screen appears.
Power supply is waiting for trigger.
5. Turn on the power supply output and press Current encoder to trigger the sequencer.
NOTE
To stop execution of a running sequence, press the PROG button. PROG (Green) LED
illuminates, TRIG ABORT appears. Press Current encoder to abort the running sequence.
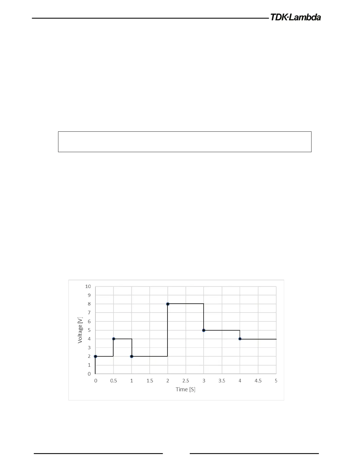
5.3.4 LIST Mode Example
VOLT:MODE LIST
Select LIST Mode Sequence
LIST:VOLT 2,4,2,8,5,4
Set voltage values ”2,4,2,8,5,4” Volts
LIST:DWEL 0.5,0.5,1,1,1,1
Set dwell values ”0.5,0.5,1,1,1,1” Seconds
STEP AUTO
Set AUTO step execution mode ”AUTO”
COUN 1
Set list execution iterations ”1”
TRIG:SOUR BUS Select BUS trigger source via communication
interface or front panel
INIT:CONT OFF
Trigger system is enabled for a single trigger action
INIT
Trigger initialize
*TRG
Trigger command
Figure 5–5: LIST Mode Example

Table of Contents

Related product manuals