EasyManua.ls Logo

ABB ACS860 - Page 73

ABB ACS860
438 pages
Print Icon
To Next Page IconTo Next Page
To Next Page IconTo Next Page
To Previous Page IconTo Previous Page
To Previous Page IconTo Previous Page
Loading...
Program features 73
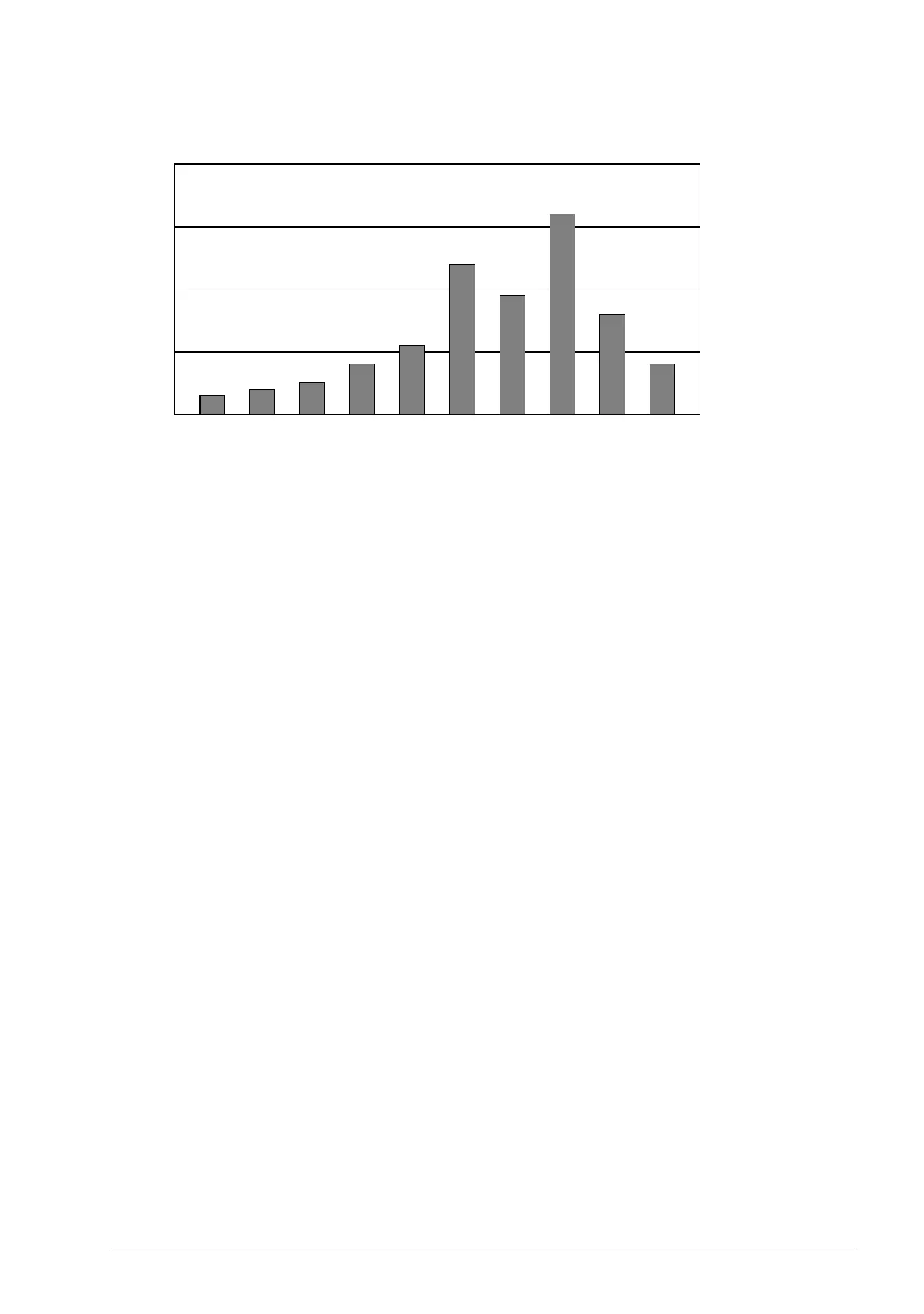
Amplitude logger 1 is fixed to monitor motor current, and cannot be reset. With
amplitude logger 1, 100% corresponds to the maximum output current of the drive
(I
max
, as given in the hardware manual). The distribution of collected samples is
shown by parameters 36.2036.29.
Settings
Parameter group 36 Load analyzer (page 229).
Percentage of samples
<10%
10…20%
20…30%
30…40%
40…50%
50…60%
60…70%
70…80%
80…90%
>90%
Amplitude ranges
(parameters 36.4036.49)

Table of Contents

Related product manuals