EasyManua.ls Logo

Ametek OXYvisor - ; A1 - Partial Pressure of Oxygen - Gas Phase

Ametek OXYvisor
84 pages
Print Icon
To Next Page IconTo Next Page
To Next Page IconTo Next Page
To Previous Page IconTo Previous Page
To Previous Page IconTo Previous Page
Loading...
70
Installation, Operation and Maintenance Manual
OXYvisor Optical Oxygen Analyzer

A1 - Paral Pressure of Oxygen - Gas Phase
The OXYvisor measures the absolute partial pressure of oxygen in the system of interest. This important
physical property can be measured and outputted directly from the OXYvisor as hPa or mbar (Oxygen Unit).
Most applications in gas phase measurements requires the oxygen to be reported in concentration values.
The OXYvisor uses Equation of States to calculate the concentration. The standard method is the ideal gas
law and the advanced method uses AGI compressibility method. The standard method is most often within the
accuracies of the device, over the standard temperature ranges and for pressures up 300 psig (20 barg). The
basic calculations for each method are shown below.
It is worthwhile to note, that to complete the calculations, it is important to know the pressure of the system
at which the measurement is made. This is entered manually for static systems, or for dynamic systems,
measured by the on-board ambient pressure sensor or in the process of interest via an in-situ pressure
transmitter/transducer.
A1.1 - Standard Pressure Compensaon - (Ideal Gas Law)
A1�2 - AGI Compressibility Overview
P
O2
= x
O2
* P
sys
Where:
P
O2
= partial pressure of oxygen
x
O2
= mole fraction of oxygen
P
sys
= pressure of the system
The OXYvisor measures the partial pressure of oxygen at the conditions of interest. The total pressure of the system is
either known or measured. Therefore the concentration can be calculated by,
x
O2
= P
O2
/ P
sys
* 100
Rules and Calculations
% Vol
Total
= x
O2
+x
1
+x
2
+.....x
10
= 100.000%
Z
totsys
= (x
O2
* ) + (x
1
*z
1
) +... (x
10
*z
10
)
Calc for concentration (ppm or %O
2
)
X
O2
= (P
O2
/ P
sys
) * (Z
totsys
/ )
Where:
P
O2
= O
2
(hPa ), EOM O
2
value
P
sys
= Pressure (hPa) (AI or manual input)
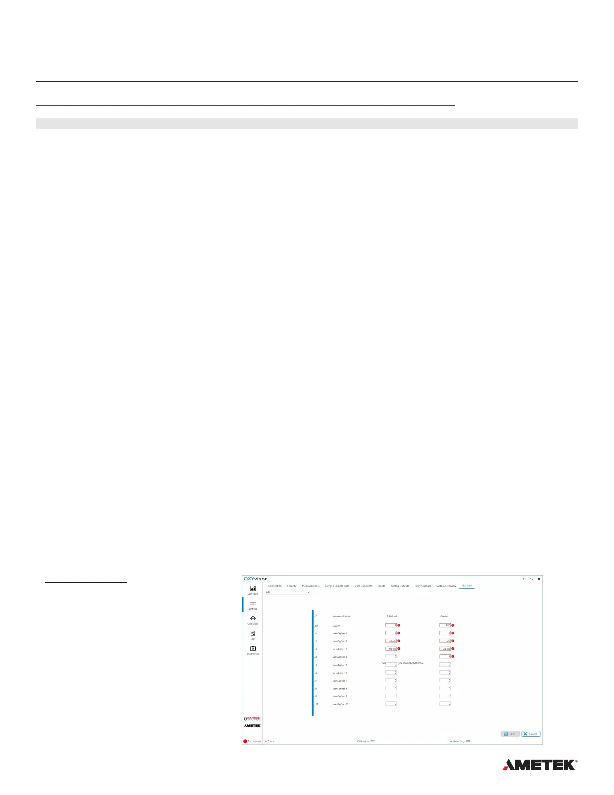
Component Name
n
, X
n
and Z
n
values - User
An advanced routine for calculating concentration at higher pressures is available via the AGI Compressibility
selection. This routine uses physical compressibility data (Z factor) entered by the end user respective of the
specic gas composition. The data can only be entered by using the OXYvisor’s OxygenAnalyzer software.

Table of Contents

Related product manuals