EasyManua.ls Logo

Bosch Rexroth IndraDrive HMV - Page 142

Bosch Rexroth IndraDrive HMV
382 pages
Print Icon
To Next Page IconTo Next Page
To Next Page IconTo Next Page
To Previous Page IconTo Previous Page
To Previous Page IconTo Previous Page
Loading...
Profile Explanation
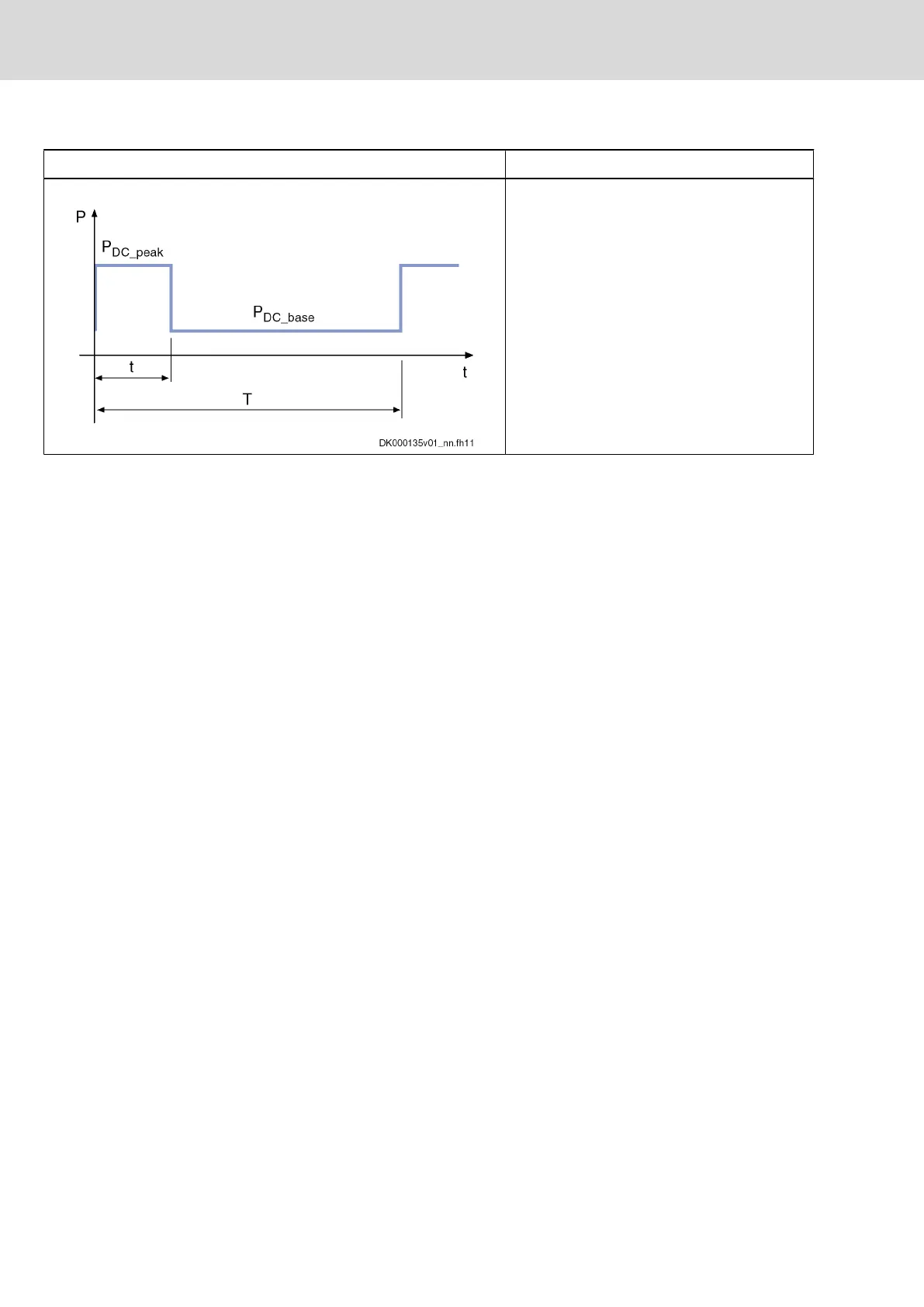
performance profile “UEL_P_e” Characteristic of the selection of standard motors
and servo drives.
Fig.6-38: Definition of performance profiles, infeeding supply units and converters
132/369 Bosch Rexroth AG | Electric Drives
and Controls
Rexroth IndraDrive | Project Planning Manual
Power Sections for Inverters - IndraDrive M

Table of Contents

Related product manuals