EasyManua.ls Logo

ESAB DTG 405 - A2 DESCRIPTION OF OPERATION

ESAB DTG 405
92 pages
Print Icon
To Next Page IconTo Next Page
To Next Page IconTo Next Page
To Previous Page IconTo Previous Page
To Previous Page IconTo Previous Page
Loading...
- 28 -
A2 DESCRIPTION OF OPERATION
GENERAL FUNCTION
The functions of A2 are very complex. An arrangement of analogue and digital circuits that char-
acterise the control function of certain welding modes is included on the board. All functions are
controlled by a EPROM sequence control.
The power supply to A2 comes from A6.
A2 provides the following default values for A8:
Output current
AC current frequency
AC current balance
Type of AC current curve
DC or AC mode
DC polarity
Start/Stop signals
A2 and A6 control gas management, hf-ignition management, remote control connection.
All analogue and digital settings comes from A2-2 (front panel).
NOTE!
The jumpers on A2 must not be re-located; otherwise A2 will produce functions other than
those intended for the DTG405.
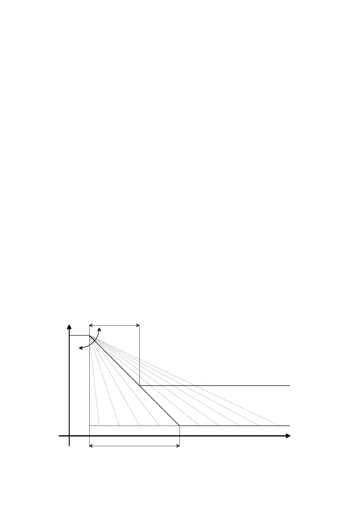
DOWN SLOPE RAMP FUNCTION
The potentiometer provided on the front panel for adjusting the downslope ramp governs the dy-
namics of current change, i.e. the number of amperes per unit of time the current changes during
the downslope. In geometric terms, this is equivalent to the change in angle of the downslope ramp.
It can be seen from the Figure that the absolute time of the downslope ramp (t1, t2), while depending
on the change in angle (a) of the downslope, is a function of the starting-point and end-point values
of the current (the differential of the current values I2 and I3 between which there is a downslope).
For high I2 and small I3 (2) (large differential of current values), the downslope time (t2) is longer
compared with a smaller I2 or a greater I3 (1) (t1, the current value differential is smaller).
For the maximum current differential I2, I3, the minimum downslope time (knob at „0“) is 0.5 sec-
onds and the maximum downslope time (knob at „10“) is 20 seconds.
The upslope function is similar.
I2
t1
t2
I3(1)
I3(2)
I
t
a

Table of Contents

Related product manuals