EasyManua.ls Logo

Megmeet MV820 - Initial Power-On Operation

Default Icon
323 pages
Print Icon
To Next Page IconTo Next Page
To Next Page IconTo Next Page
To Previous Page IconTo Previous Page
To Previous Page IconTo Previous Page
Loading...
96
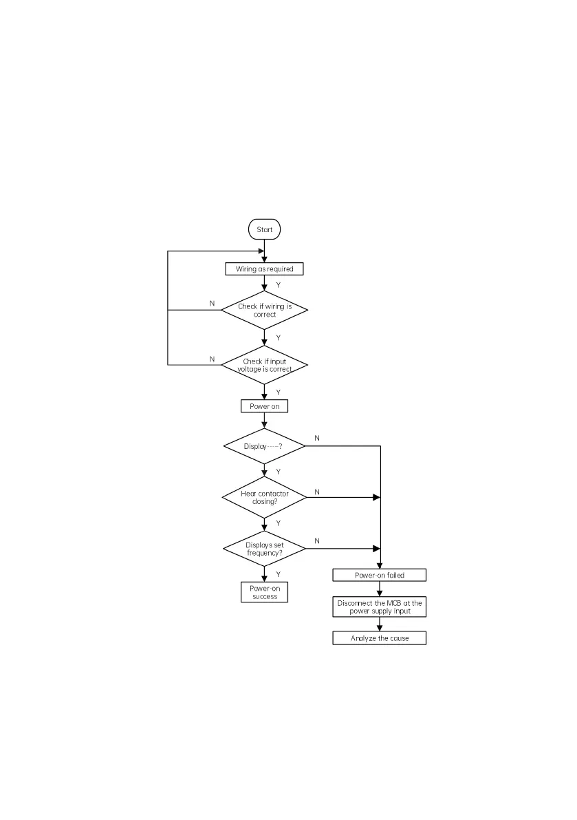
5.3.2 Initial power-on operation
When the drive passes the wiring and power supply inspection, turn on the air switch of the AC power supply at the
drive input side to supply power for the drive. The operating panel will first display ā€œ- - - - -ā€, and the contactor will be
normally engaged. When the characters displayed in the digital tube change into the set frequency, the drive
initialization is completed.
The initial power-on process is shown in Fig. 5-9:
Fig. 5-9 Initial power-on process of drive

Table of Contents

Related product manuals