EasyManua.ls Logo

OTE PUMA T2 - Fig. 7.11: Its Not Possible to Exchange Data with an External Equipment (Sheet 1 of 2); Its Not Possible to Exchange Data with an External Equipment

Default Icon
162 pages
Print Icon
To Next Page IconTo Next Page
To Next Page IconTo Next Page
To Previous Page IconTo Previous Page
To Previous Page IconTo Previous Page
Loading...
PUMA T2
Technical Handbook
Troubleshooting
P/N: 779-0306/01
Revision 03
OTE Proprietary information
Page 83
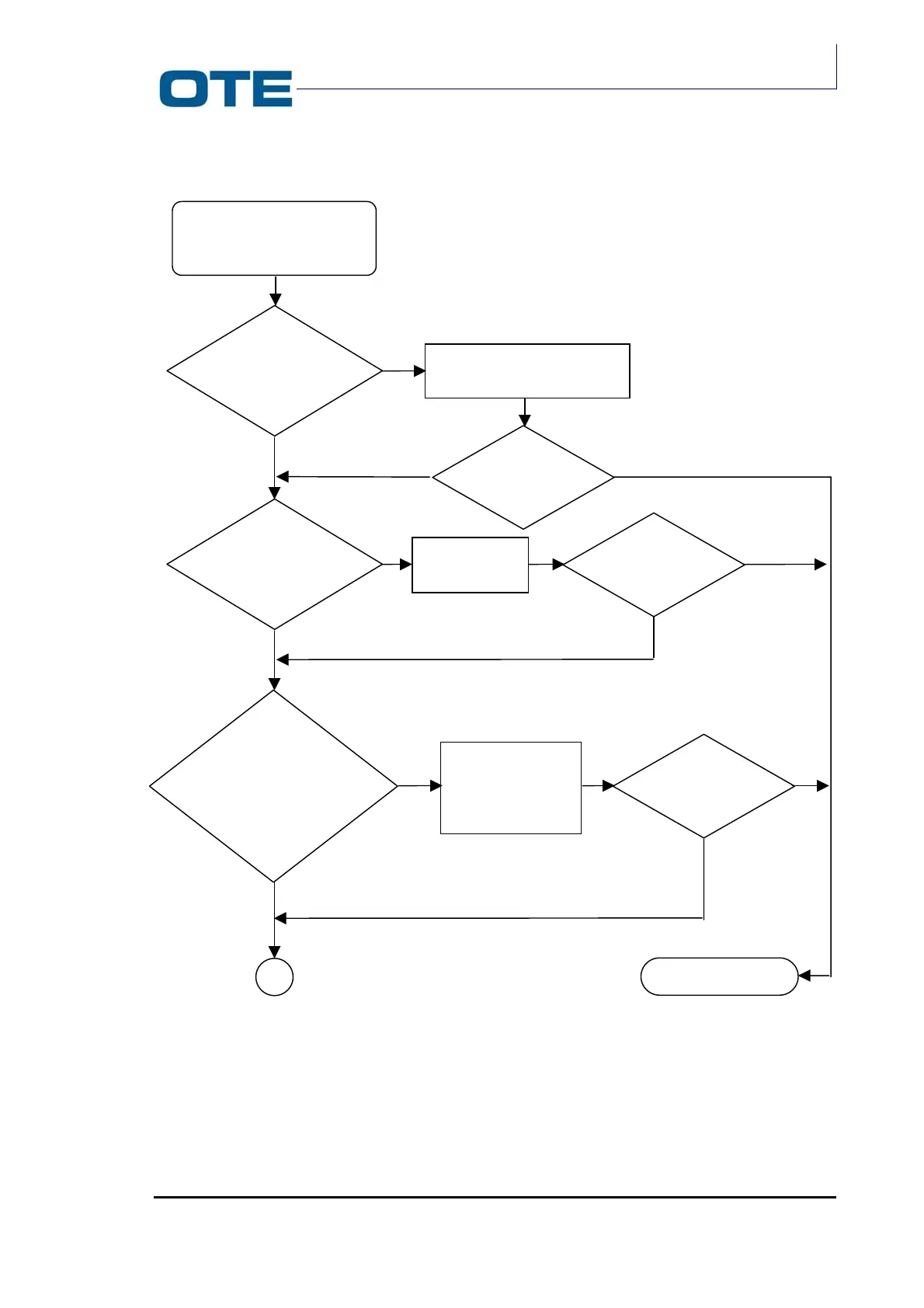
Fig. 7.11: It’s not possible to exchange data with an external equipment (sheet 1 of 2)
It’s not possible to
exchange data with an
external equipment
Are the radio
and the external
equipment both lighted?
Light the radio and/or the
external equipment.
NO
It is still
impossible to
exchange data?
YES
NO
The SW resident
on the external equipment
is setting correctly so as to
send/received data
on/from serial
active door?
YES
Is it still
impossible to
exchange data?
NO
The series
of the external equipment
was defuse?
NO
YES
Setting correctly
the SW resident
on the external
equipment.
NO
Is it still
impossible to
exchange data?
NO
YES
YES
A
END SEARCH
YES
Re-establish
the series.

Table of Contents