EasyManua.ls Logo

OTE PUMA T2 - The Radio Link, Within the Normal Coverage Area, Is Impossible

Default Icon
162 pages
Print Icon
To Next Page IconTo Next Page
To Next Page IconTo Next Page
To Previous Page IconTo Previous Page
To Previous Page IconTo Previous Page
Loading...
PUMA T2
Technical Handbook
Troubleshooting
P/N: 779-0306/01
Revision 03
OTE Proprietary information
Page 87
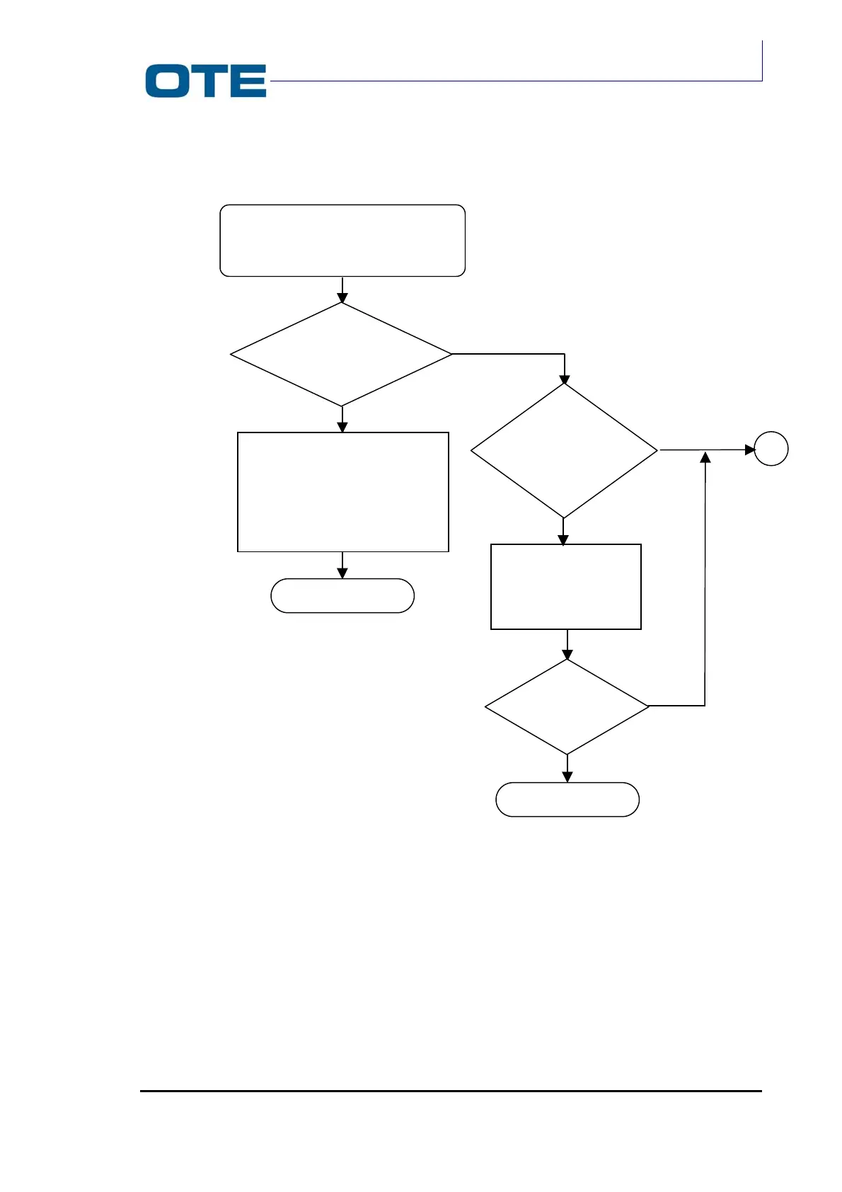
Fig. 7.16: The radio link, within the normal coverage area, is impossible, intermittent or
faint (Sheet 1 of 2)
The radio link, within the normal
coverage area, is impossible,
intermittent or faint
Is the “F” symbol
present on the
radio display ?
NO
The symbol “F” (FALL-BACK)
indicates the reduced working
mode of the radio base station
serving the terminal belonging
cell. Wait until the base station
is fully working again
YES
Does the
display show
the ‘battery low’
symbol ?
YES
NO
END SEARCH
Replace the battery
(CM-02 form) with
one surely charged
Is the problem
still present ?
YES
NO
END SEARCH
A

Table of Contents