EasyManua.ls Logo

OTE PUMA T2 - Fig. 7.12: the Equipment Turns off Every Now and then; The Equipment Turns off Every Now and then

Default Icon
162 pages
Print Icon
To Next Page IconTo Next Page
To Next Page IconTo Next Page
To Previous Page IconTo Previous Page
To Previous Page IconTo Previous Page
Loading...
PUMA T2
Technical Handbook
Troubleshooting
P/N: 779-0306/01
Revision 03
OTE Proprietary information
Page 85
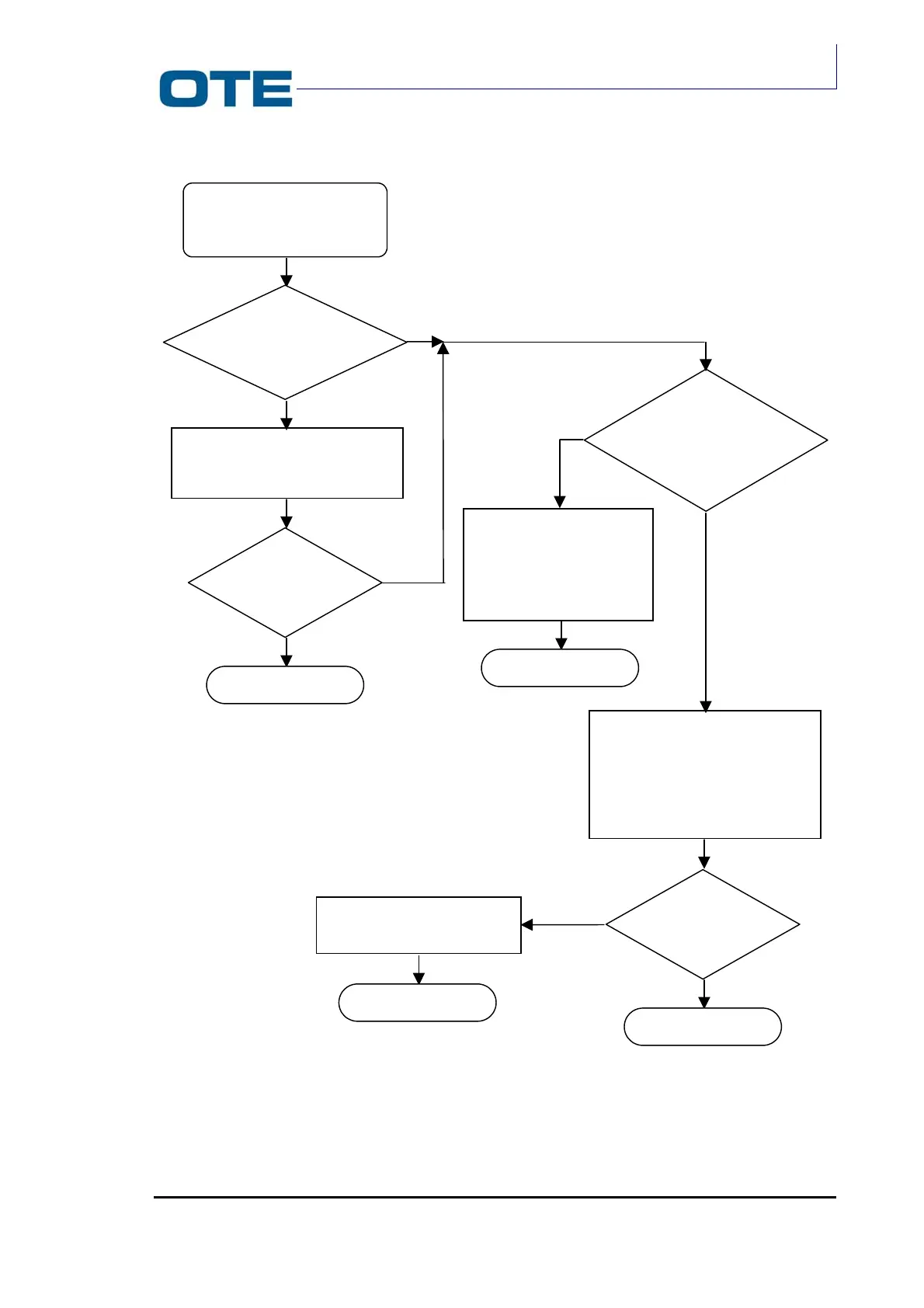
Fig. 7.12: The equipment turns off every now and then
The equipment turns off
every now and then
Does the display
show the ‘battery
low’ symbol ?
YES
NO
Replace the battery (CM-02
form) with one surely charged
Is the problem
still present ?
NO
END SEARCH
Is the battery
correctly
connected to the
radio ?
YES
Check that both the contacts of
the battery and those of the
radio are in good repair.
Operate, when required, as
described in the PM-03 form
Restore, if possible, the
right connection between
the battery and the radio;
otherwise send the radio to
the OTE assistance centre
NO
END SEARCH
Is the problem
solved ?
YES
END SEARCH
Send the radio to the OTE
assistance centre
NO
END SEARCH
YES

Table of Contents