EasyManua.ls Logo

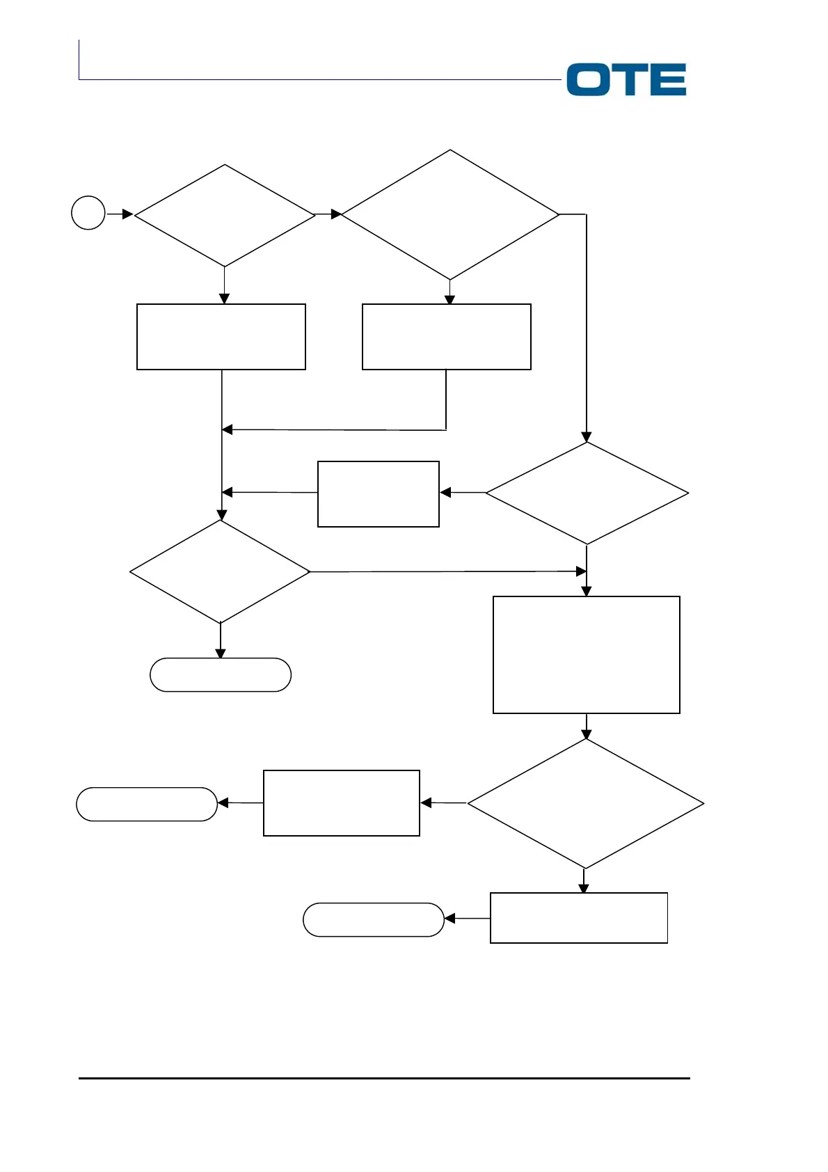
OTE PUMA T2 - Fig. 7.16: the Radio Link, Within the Normal Coverage Area, Is Impossible, Intermittent; Fig. 7.16: the Radio Link, Within the Normal Coverage Area, Is Impossible, Intermittent or Faint (Sheet 2 of 2)

Default Icon
162 pages
Print Icon
To Next Page IconTo Next Page
To Next Page IconTo Next Page
To Previous Page IconTo Previous Page
To Previous Page IconTo Previous Page
Loading...
PUMA T2
Technical Handbook
Troubleshooting
Page 88 OTE Proprietary information
P/N: 779-0306/01
Revision 03
Fig. 7.16: The radio link, within the normal coverage area, is impossible, intermittent or
faint (Sheet 2 of 2)
Is the antenna
in good repair
?
YES
NO
A
Is the antenna
correctly
connected to the
radio ?
Replace the antenna as
described in the CM-01
form
NO
Restore the correct
connection (CM-01 form)
YES
Are the antenna
connectors in
good repair ?
NO
Operate as
described in the
PM-03 form
Is the problem
solved
?
YES
END SEARCH
YES
NO
Check if the terminal is able
to exchange correctly radio
signals by performing the
test described in the par.
7.2 of this manual
Has the radio
succesfully
performed the test
?
NO
Send the radio to the OTE
assistance centre
END SEARCH
YES
The problem doesn’t
depend on the radio
but on the network
END SEARCH

Table of Contents