EasyManua.ls Logo

Philips MultiOne - Adjustable Light Output Configuration

Philips MultiOne
81 pages
Print Icon
To Next Page IconTo Next Page
To Next Page IconTo Next Page
To Previous Page IconTo Previous Page
To Previous Page IconTo Previous Page
Loading...
User Manual Philips MultiOne
© Philips Lighting B.V. 2014 Page 35 / 81
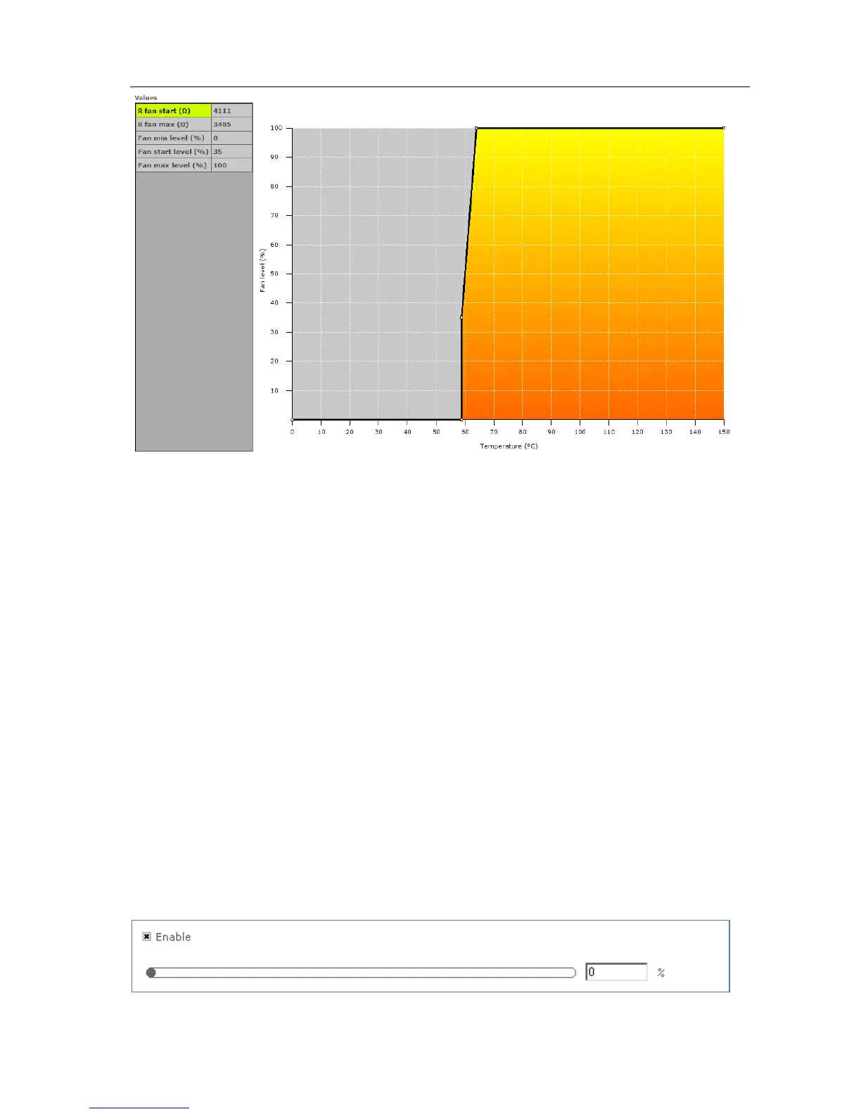
Description
Use this feature to control the fan of the LED module and minimize audible noise
from the active cooling unit. The driver increases the fan output level (and so the
speed of the fan) when temperature of the LED module becomes too high. When the
fan output level increases the temperature of the LED module should be reduced.
The customer can specify the temperature limits to make sure the fan output level is
kept as low as possible and will only increase when needed so the audible noise is
reduced.
Usage
Drag the points or the lines in the resulting graph to adjust the configuration.
Alternatively, use the table to enter values directly.
NOTE: For a detailed technical description of the characteristics of the device model,
like constraints and limitations, please refer to Device-specific technical description.
12.3.8 Adjustable Light Output
Product group
HID

Table of Contents