EasyManua.ls Logo

Siemens SIRIUS 3RW44 - Page 17

Siemens SIRIUS 3RW44
255 pages
To Next Page IconTo Next Page
To Next Page IconTo Next Page
To Previous Page IconTo Previous Page
To Previous Page IconTo Previous Page
Loading...
Introduction
SIRIUS 3RW44 System Manual
GWA 4NEB 535 2195-02 DS 04
1-5
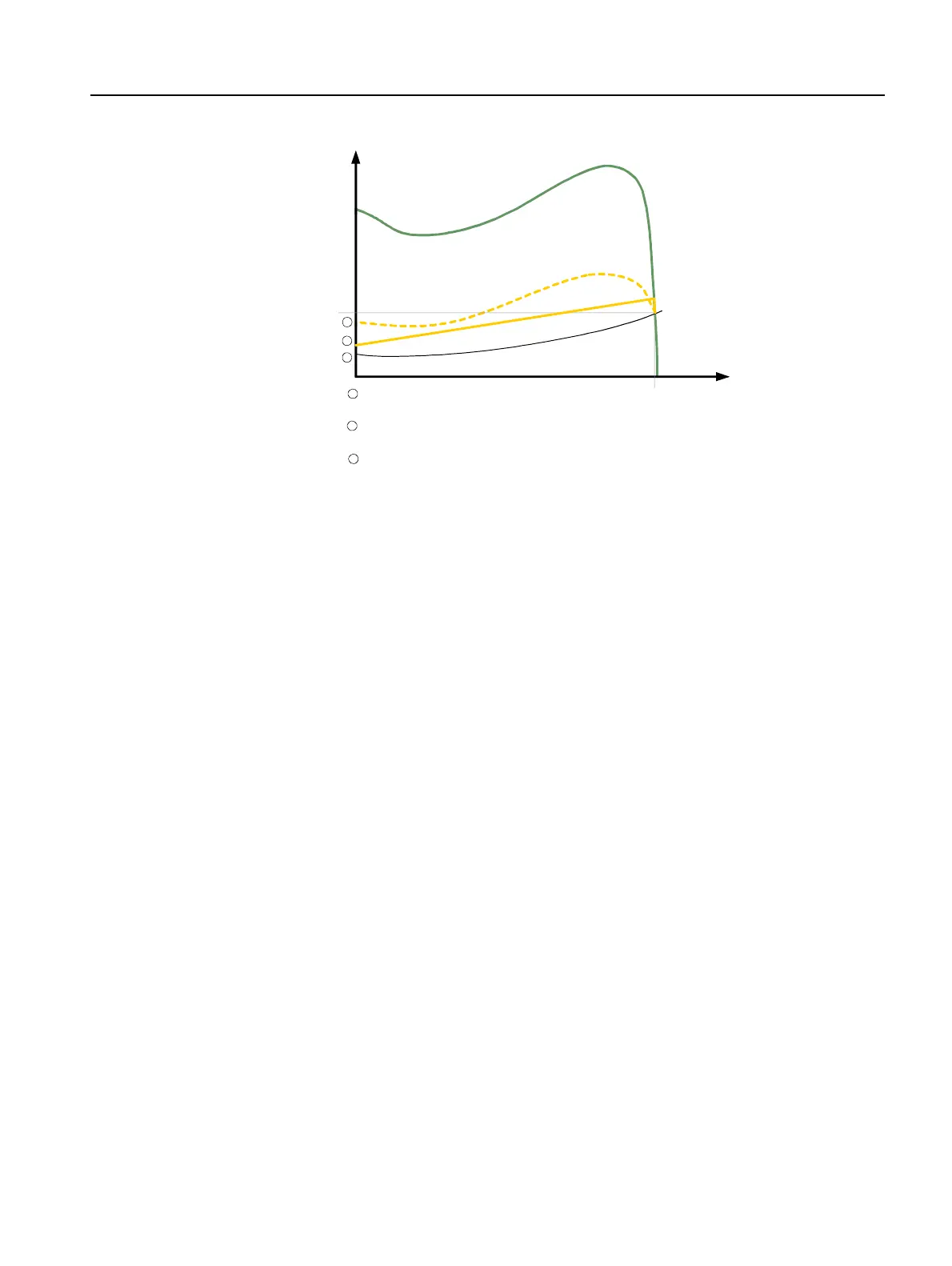
Figure 1-4:Reduced torque behavior of the 3-phase asynchronous motor during start-up
with the SIRIUS soft starter 3RW44
005_Drehmomentkurven mit Sanftstarter.wmf
1
2
3
1
2
3
n
Motor speed
n
Nom
Motor torque
M
M
Nom
M
Soft start
voltage ramp
M
Soft start
torque-controlled
M
Load (e.g. pump)
M
Direct
on-line
starting

Table of Contents

Other manuals for Siemens SIRIUS 3RW44

Related product manuals