EasyManua.ls Logo

Siemens SIRIUS 3RW44 - Breakaway Pulse in Combination with the Voltage Ramp or Torque Control Starting Mode

Siemens SIRIUS 3RW44
255 pages
To Next Page IconTo Next Page
To Next Page IconTo Next Page
To Previous Page IconTo Previous Page
To Previous Page IconTo Previous Page
Loading...
Device Functions
SIRIUS 3RW44 System Manual
GWA 4NEB 535 2195-02 DS 04
6-7
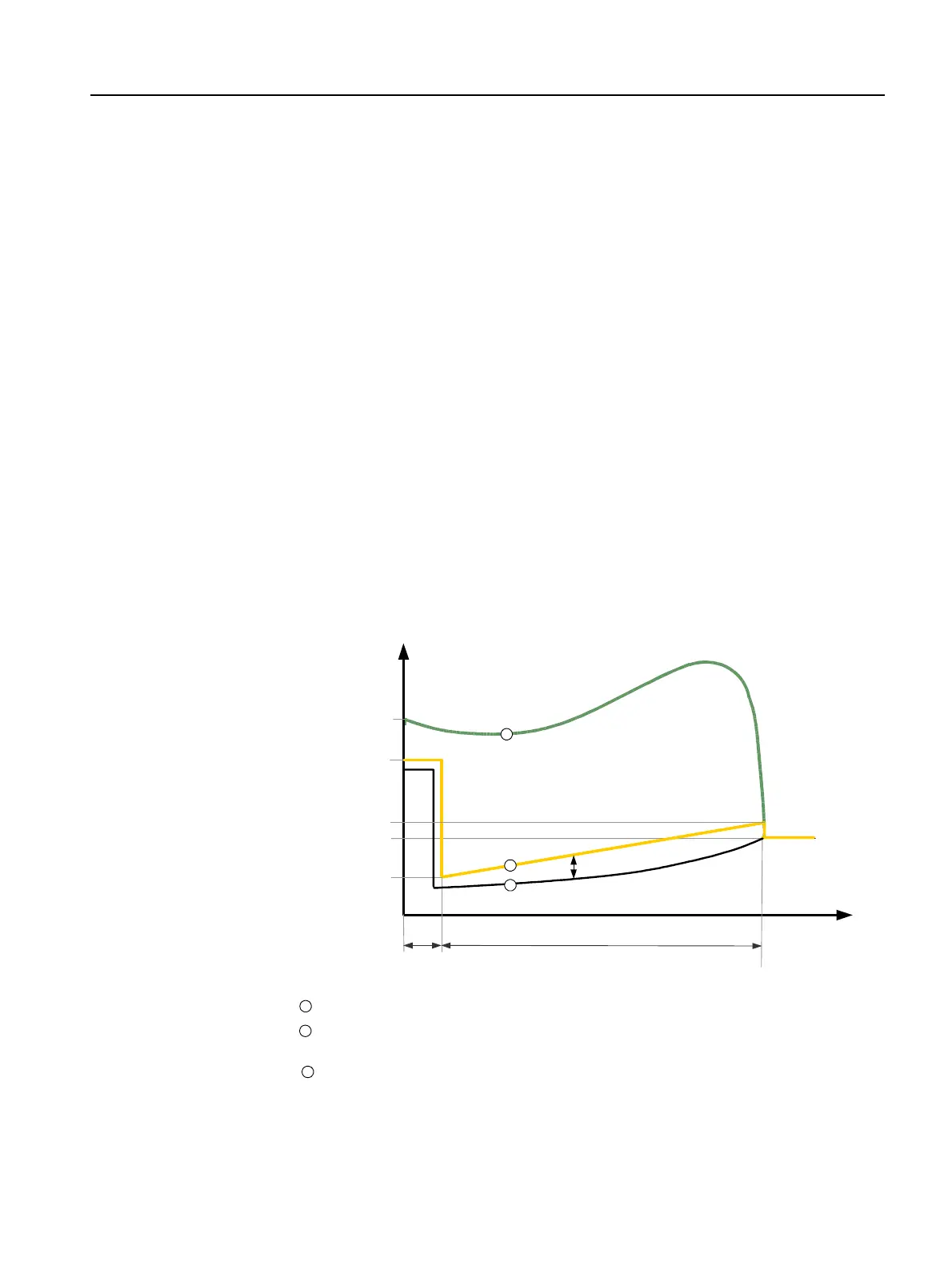
6.2.3 Breakaway Pulse in Combination with the Voltage Ramp or Torque Control Starting Mode
This function is required for load machines with inverse torque behavior. Typical
applications are mills, crushers or drives with plain bearings. In such cases it
may be necessary to create a breakaway pulse at the beginning of the machine's
start process. The breakaway pulse is set via the breakaway voltage and the
breakaway time. Using the breakaway pulse, the high limiting friction of the load
can be overcome and the machine can be set into motion.
The breakaway pulse can be used in combination with the voltage ramp, torque
control or current limiting starting modes and is superimposed on these during
the whole breakaway time.
Breakaway voltage The breakaway voltage setting determines the breakaway torque to be
generated. Its maximum value can be 100 % of the start torque generated on
direct starting. The pulse should be high enough for the motor to start
immediately when the soft starter receives the start command.
Breakaway time The breakaway time specifies how long the breakaway voltage should be
applied. Upon completion of the breakaway time, the soft starter finishes its run-
up process with the selected starting mode, e.g. voltage ramp or torque control.
The selected breakaway time should be at least long enough so that, after the
configured time has elapsed, the motor does not remain stationary again but
rather accelerates further in the selected starting mode.
If 0 ms is set as the breakaway time (default), the breakaway pulse function is
deactivated.
Figure 6-4:Function principle of breakaway pulse/torque control
Time (t)
s
M
Nom
M
Load (e.
g
. Crusher)
1
1
M
2
3
3
2
M
Soft start
Motor
torque (M)
Nm
Direct on-line starting
(maximum torque that can be generated)
Breakaway pulse combined with
torque regulation or voltage ramp
Parameterizable
breakaway voltage
Parameterizable
start torque/
start voltage
Parameterizable
breakaway voltage
Parameterizable
starting time
Acceleration
torque
Motor has run up and is
in nominal operation (n
Nom
).
The runup is detected and the
bypass contacts close.
5_04_Funktionsprinzip Losbrechimpuls Drehmomentregelung .wmf

Table of Contents

Other manuals for Siemens SIRIUS 3RW44

Related product manuals