Home
Smitec
Servo Drives
Cosmos 3152FA
Page 20
Smitec Cosmos 3152FA - Page 20
106 pages
Manual
Save Page as PDF
To Next Page
To Next Page
To Previous Page
To Previous Page
Loading...
COSMOS DRIVER SERIES 3000 - USE AND MAINTENANCE MANUAL
V
er
. 1.07
Pag. 20
0
,
0
1,0
2,0
3
,
0
4,0
5
,
0
6,0
7
,
0
8,0
9
,
0
10
,
0
1
1,0
1
2,0
1
3,0
1
4,0
1
5,0
1
6
,
0
1
7,0
1
8,0
0
5
0
1
0
0
1
5
0
2
0
0
2
5
0
3
0
0
3
5
0
4
0
0
C
O
S
M
O
S 3
5
XX
[
A
rm
s
]
[W
]
19
21
Table of Contents
Main Page
Default Chapter
2
Table of Contents
2
1 Preface
6
2 General Warnings
7
3 Safety Instructions
9
General Information
9
Precautions During Handling and Assembly
9
Precautions against Risk of Electric Shock
10
Precautions against Hot Components
11
4 Product Features
12
Description
12
Driver Models
13
Order Codes
14
Model Code
16
Accessories
17
Ratings
18
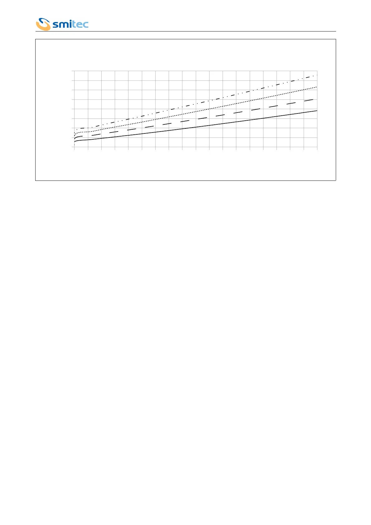
Thermal Dissipation
19
Ambient Specifications
21
Electromagnetic Compatibility (Emc)
21
Physical Specifications
22
Weight
22
Size of COSMOS Type 315X / 325X
22
Size of COSMOS Type 3500/1 (First Series)
23
Size of COSMOS Type 3500/1 (Second Series)
24
Size of COSMOS Type 3502
25
5 Installation
26
Positioning and Installation
26
COSMOS Type 315X/325X
26
COSMOS Type 3500/1 (First Series)
27
COSMOS Type 3500/1 (Second Series)
28
COSMOS Type 3502
29
Electrical Installation
30
Power Installation
30
Signal Installation
31
Earth Wiring
32
Connectors Wiring
33
Auxiliary Power Supply Input (24VDC/J5 )
33
Main Power Supply Input (LINE/J1)
34
Motor Output (MOTOR/J4)
36
DC BUS Power Supply (DC BUS/J3)
37
Dynamic Brake Output (BRAKE R/J2)
38
Encoder 1 Input (E1)
39
COSMOS Type 3XXX (First Series)
39
COSMOS Type 3XXX (Second Series)
40
Encoder Input/Output 2 (E2)
42
Encoder Input
42
Encoder Repetition Output
43
STO System I/O (STO)
44
General I/O
45
Field Bus Flxio/Sercos III/Modbus TCP (F1, F2)
46
Flxio Connection
46
SERCOS III/Modbus TCP Connection
46
Field Bus Sercos II (FRX, FTX)
47
Operator Interface (HMI)
47
Usb (Usb)
47
Wiring Diagram
48
Choice of the Wires and Fuses
49
Protection for Use Exclusively in Compliance with IEC 61800-5-1
49
Protection for UL Applications According to IEC/UL 61800-5-1 and C22.2 No.274
50
Installation Criteria for Ul Certification
51
6 Safety Integrated System
52
Description
52
Operation
52
Signals
52
Electrical Specifications
52
System Status
53
Intervention Times
53
7 Operator Interface
54
Function of the Keys
54
Interaction
55
Status Message
55
Controller Sercos III
55
Controller Flxio
56
Controller Sercos II
56
Analogue Controller
56
Service Controller
56
Modbus TCP/IP Controller
56
Access Level
56
Main Menu
57
Measure Menu
58
Models for Brushless Motor
58
Models for Asynchronous Motor
59
Sercos II Cosmos
60
Status Menu
61
Models for Brushless Motor
61
Sercos II Cosmos
61
Control Menu
62
Models for Brushless Motor
62
Models for Asynchronous Motor
65
Sercos II Cosmos
67
Motor Menu
69
Models for Brushless Motor and Sercos II Version
69
Models for Asynchronous Motor
71
Sercos Menu
72
SERCOS™ Standard Features (CEI IEC 1491)
72
SERCOS Interface Configuration
72
SERCOS Interface Status
72
Analogue Menu
72
Analog Controller
73
Analogue Controller Configuration
73
Analogue Controller Status
74
Service Menu
75
Models for Brushless Motor and for Sercos II Cosmos
75
Models for Asynchronous Motor
75
External Brake Menu
76
Models for Brushless Motor and for Sercos II Cosmos
76
Models for Asynchronous Motor
76
Input/Output Menu
78
Driver Menu
81
Models for Brushless Motor
81
Models for Asynchronous Motor
82
Sercos II Cosmos
82
Ethernet Menu
83
Encoder Menu
84
VISIO Menu
85
Models for Brushless Motor
85
Models for Asynchronous Motor
85
Sercos II Cosmos
85
8 Leds and Address (Flxio, Sercos III and Modbus Tcp)
86
Address Setting
86
Leds "LINE" and "24VDC
87
Leds "FLT" and "STS
87
Leds I1, I2 and to
87
Led S Aandl
87
Led Sfbs
88
Field Bus Flxio
88
Field Bus Sercos III
88
9 Leds and Address (Sercos II Model)
89
Address Setting
89
P, E, O Leds
89
FBS Leds
89
Flt Led
89
D Led
89
10 Error Codes (Flxio, Sercos III and Modbus Tcp)
90
Internal Errors
90
Control Errors
91
Models for Brushless Motor
91
Models for Asynchronous Motor
93
Warnings
94
Models for Brushless Motor
94
Models for Asynchronous Motor
94
11 Error Codes (Sercos II Model)
95
Driver Errors
95
Sercos Errors
97
Error Codes
97
Solution of Communication Problems
97
Errors from 21 to 25
98
Errors from 28 to 30
98
Error 32
98
Examples of Errors
98
12 Firmware Update
100
Update on Pc Via Usb Connection
100
13 Maintenance
105
Replacement of Fan Blower
105
COSMOS Type 315X/325X
105
COSMOS Type 350X
106
Replacement of Dynamic Brake Resistor
106
COSMOS Type 325X
106
Related product manuals
Smitec Cosmos 3152FB
106 pages
Smitec Cosmos 3151SB
106 pages
Smitec Cosmos 3250SB
106 pages
Smitec Cosmos 3502DB
106 pages
Smitec COSMOS 3020-FA
39 pages
Smitec COSMOS 301 Series
74 pages
Smitec COSMOS 302 Series
39 pages
Smitec Cosmos Series
106 pages
Smitec 3010FA
74 pages
Smitec 3012RA
74 pages