EasyManua.ls Logo

Sulzer ABS PC 441 - Energy Efficiency: Kwh;Volume Unit

Default Icon
82 pages
Print Icon
To Next Page IconTo Next Page
To Next Page IconTo Next Page
To Previous Page IconTo Previous Page
To Previous Page IconTo Previous Page
Loading...
81307063I
EN
34
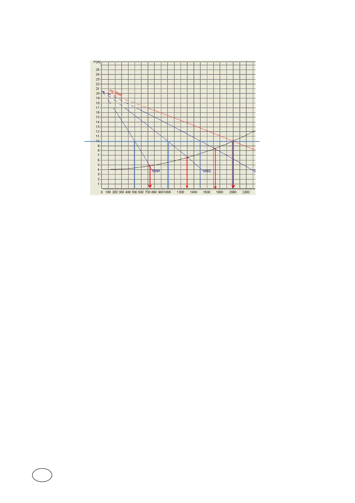
Example Figure 3-8 shows how the PC 441 handles the calculations when the pump curves and
systemcurveareset:
4 pumps in parallel selected for 2000 l/s @ 10 m
Figure 3-8
System curve
(Settings – Pump pit – Station Flow – Meas. Parameters – System Curve:
[Whenonepumpisrunning])
Static Head Duty Point: 4.00 meters
Total Head Duty Point: 4.8 meters
Flow at Duty Point: 740 l/s
1 pump running 3 pumps running
For this pump 740 l/s Totalow1720l/s
Whenonly1pumpisrunning
thereisnoneedforanycompen-
sationfactor,gives100 %.
Meaning1720-1300=420l/s
Fortheindividualpump1720/3=573l/s.
That gives a compensation factor of 77 %.
2 pumps running 4 pumps running
Totalow1300l/s Totalow2000l/s
Meaning1300-740=660l/smorethan1
pump operating.
Fortheindividualpump1300/2=650l/s.
That gives a compensation factor of 88 %.
Meaning2000-1720=280l/s
Fortheindividualpump2000/4=500l/s.
That gives a compensation factor of 69 %.
3.2.4 Energyeciency:kWh/volumeunit
Energye󰀩ciency(kWh/volume)isacalculatedvalue,fromaccumulatedpowerconsumptionandaccumulated
outow.Powerconsumptionisavailablewhenapowermonitorisattachedtothesystem.Correctvolumeac-
cumulationrequiressetupofpumpcapacitycalculation(e.g.providingpitarea),seesection 3.2regardingow
calculation.
Energye󰀩ciencyandallotheraccumulatedvaluesarekeptinPC441asagrandtotalandasdailyvalues,
sevendaysprior.Theenergye󰀩ciencyvalueshowninmaindisplay,istodaysvalue,thatresetsatmidnight
andupdatesonactualpumpperformance.Thisaveragedayvaluegivesagoodreectionofactualpump
energyusageandstationperformance.

Table of Contents