EasyManua.ls Logo

Toradex Verdin - Verdin General Power Sequences

Toradex Verdin
111 pages
Print Icon
To Next Page IconTo Next Page
To Next Page IconTo Next Page
To Previous Page IconTo Previous Page
To Previous Page IconTo Previous Page
Loading...
Verdin Carrier Board Design Guide
Preliminary Subject to Change
Toradex AG l Ebenaustrasse 10 l 6048 Horw l Switzerland l +41 41 500 48 00 l www.toradex.com l info@toradex.com
Page | 62
3.3 General Power Sequences
3.3.1 “No VCCto “Running(startup)
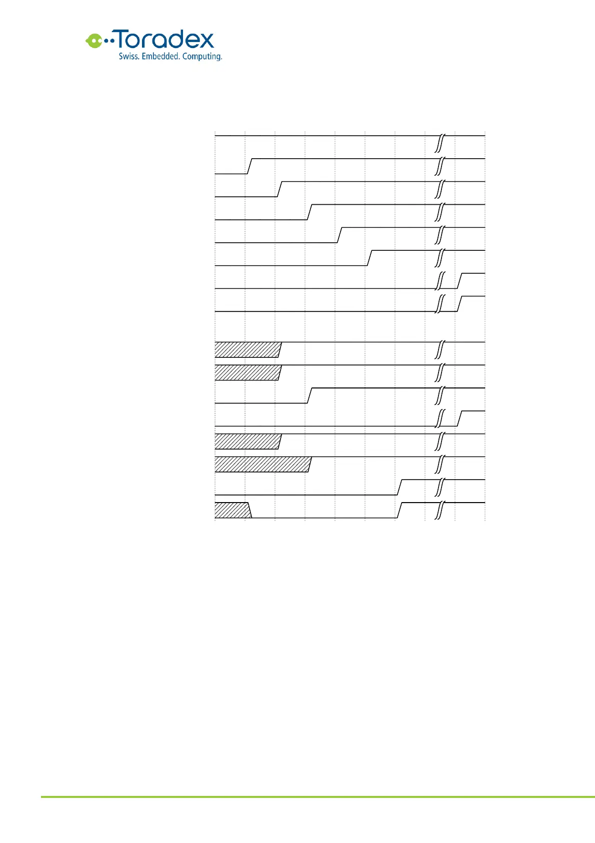
Figure 48: “No VCC” to “Running” (startup) Power Sequence
The Verdin module starts the power-up sequence when the VCC main input voltage is applied.
There is no need for pressing the power button signal (CTRL_PWR_BTN_MICO#) for starting the
module. The module ramps up early rails on the module. A this point the pull-up resistors for the
CTRL_PWR_BTN_MICO# and CTRL_RESET_MICO# get enabled. The CTRL_FORCE_OFF_MOCI#
signal goes high. Before enabling these early rails on the module, the signal can be undefined.
Therefore, the carrier board needs to blank (ignore) the CTRL_FORCE_OFF_MOCI# for the first
400ms after VCC has been applied.
After the early module rails are ramped up, the Verdin module outputs the PWR_1V8_MOCI#
output rail and releases the CTRL_PWR_EN_MOCI. The CTRL_PWR_EN_MOCI is used for ramping
up the carrier board rails. The module is enabling all the rest of the rails that are required for the
module to be able to boot up.
After all rails are ramped up and settled, the SoC reset will be released as well as the
CTRL_RESET_MOCI# for the carrier board. The module will determine the length of the delay
between enabling CTRL_PWR_EN_MOCI and releasing the carrier board reset. It is important that
the module is ramping up the voltage rails withing 10ms after the CTRL_PWR_EN_MOCI is
released.
VCC_BACKUP
VCC
Early Module Rails
PWR_1V8_MOCI#
Carrier Board rails
Later Module Rails
Module Peripherals
CB Sleep Peripherals
CTRL_PWR_BTN_MICO#
CTRL_RESET_MICO#
CTRL_PWR_EN_MOCI
CTRL_SLEEP_MOCI#
CTRL_FORCE_OFF_MOCI#
CTRL_WAKE1_MICO#
SoC RESET
CTRL_RESET_MOCI#

Table of Contents

Related product manuals