EasyManua.ls Logo

Toradex Verdin - Module OFF to Running (Startup after Shutdown)

Toradex Verdin
111 pages
Print Icon
To Next Page IconTo Next Page
To Next Page IconTo Next Page
To Previous Page IconTo Previous Page
To Previous Page IconTo Previous Page
Loading...
Verdin Carrier Board Design Guide
Preliminary Subject to Change
Toradex AG l Ebenaustrasse 10 l 6048 Horw l Switzerland l +41 41 500 48 00 l www.toradex.com l info@toradex.com
Page | 69
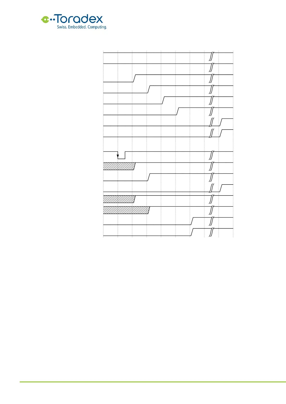
3.3.8 “Module OFF” to “Running” (startup after shutdown)
Figure 55: “Module OFF” to “Running (startup after shutdown) Power Sequence
In the “Module OFF” state, the module can be turned on by a falling edge of the
CTRL_PWR_BTN_MICO# signal. It is important that the power button is pressed less than 5
seconds. If the button is pressed longer than 5 seconds, some modules will directly initiate a force
OFF sequence. Some modules will ignore a long press to the power button if the
CTRL_PWR_BTN_MICO# was not going high after detecting the power-on event. The actual
behavior depends on the module (please refer to module datasheets).
After detecting the power button event, the module begins to ramp up all the voltage rails in the
same sequence as described in section ”No VCC” to “Running” (startup).
VCC_BACKUP
VCC
Early Module Rails
PWR_1V8_MOCI#
Carrier Board rails
Later Module Rails
Module Peripherals
CB Sleep Peripherals
CTRL_PWR_BTN_MICO#
CTRL_RESET_MICO#
CTRL_PWR_EN_MOCI
CTRL_SLEEP_MOCI#
CTRL_FORCE_OFF_MOCI#
CTRL_WAKE1_MICO#
SoC RESET
CTRL_RESET_MOCI#

Table of Contents

Related product manuals