EasyManua.ls Logo

Weidmüller maxGUARD - Page 17

Weidmüller maxGUARD
78 pages
Print Icon
To Next Page IconTo Next Page
To Next Page IconTo Next Page
To Previous Page IconTo Previous Page
To Previous Page IconTo Previous Page
Loading...
17Manual maxGUARD2526740000/02/03.2018
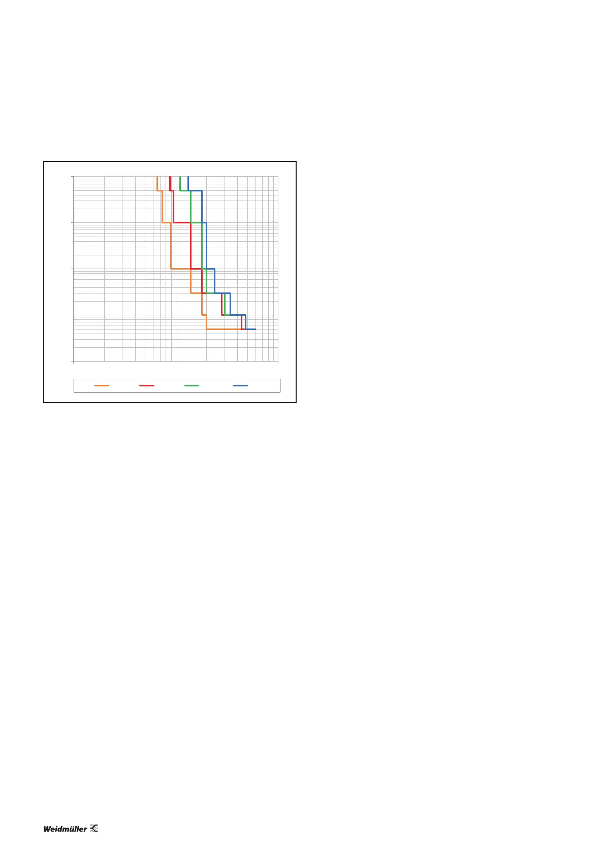
3 Systemoverview | Tripping characteristics
$
7
$
7
$
7
$
7
PV
PV
PV
V
V
$ $$
Tripping characteristics, lag: 6A
T
–12A
T

Table of Contents