EasyManua.ls Logo

Basler DGC-500 - Page 128

Basler DGC-500
154 pages
Print Icon
To Next Page IconTo Next Page
To Next Page IconTo Next Page
To Previous Page IconTo Previous Page
To Previous Page IconTo Previous Page
Loading...
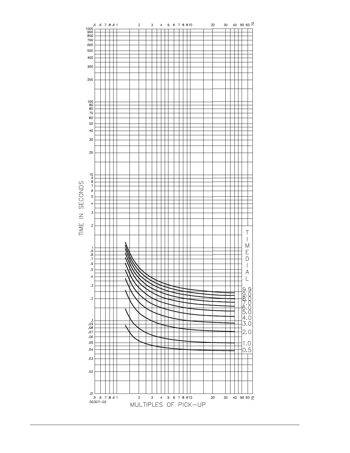
Figure A-2. Time Characteristic Curve S2, Short Inverse (Similar To GE IAC-55)
A-6 DGC-500 Time Overcurrent Characteristic Curves 9355400990 Rev H

Table of Contents

Related product manuals