EasyManua.ls Logo

doble F6300 - Page 36

doble F6300
94 pages
Print Icon
To Next Page IconTo Next Page
To Next Page IconTo Next Page
To Previous Page IconTo Previous Page
To Previous Page IconTo Previous Page
Loading...
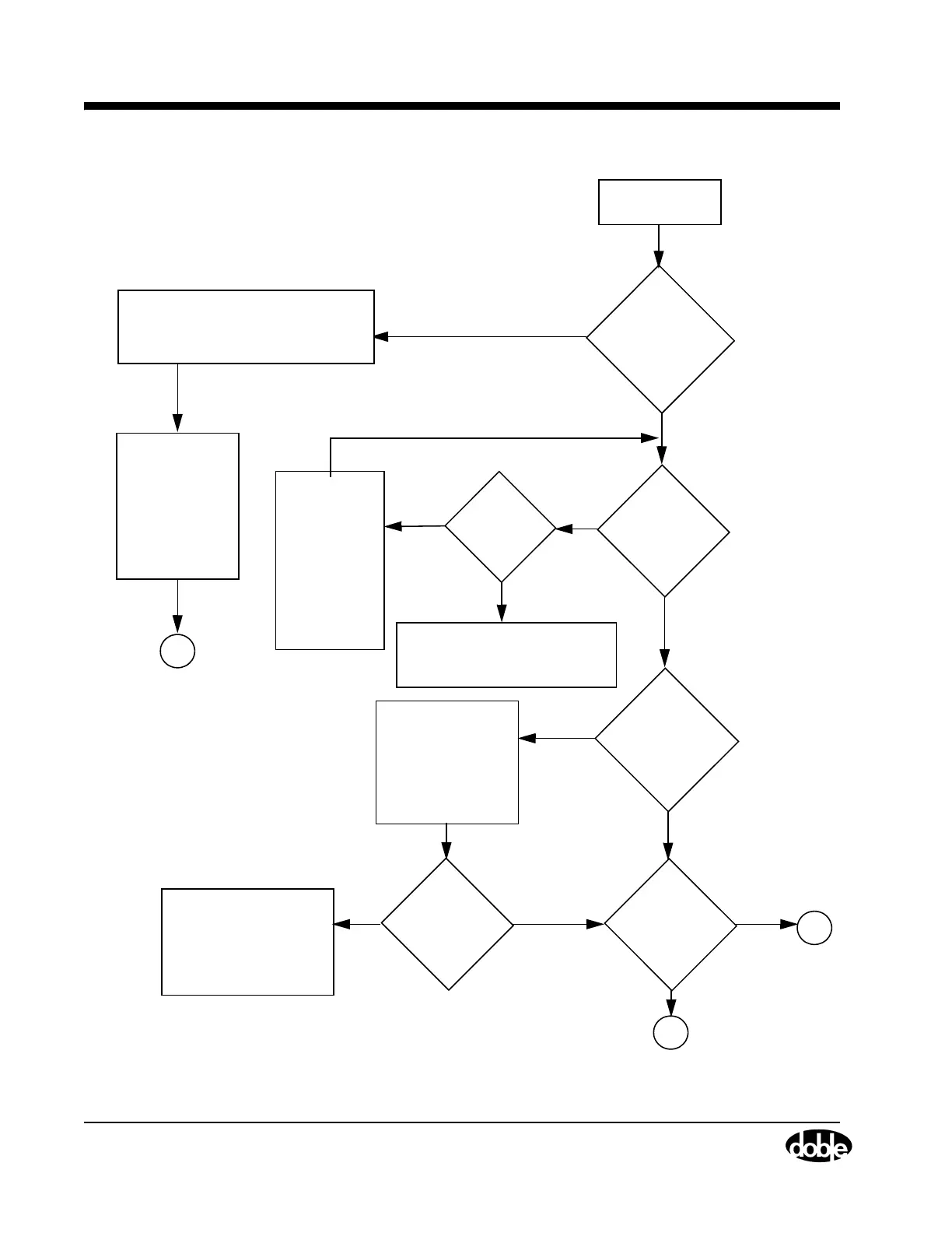
Is PC
Communicating
with F6300?
Are fans
ON at
power up?
Does
one I or V/I
amplifier not
work?
Are
all 4 Fans
off?
C
B
NO
NO
NO
NO
NO
YES
YES
YES
YES
YES
Replace Fan Assembly (see
”Removing and Replacing the
Cooling Fans” on page 5-10
Replace P/S
Assembly
(see
”Removing
and Replacing
Circuit
Boards”
on page 5-97)
Check that the
350V LED is lit.
(see ”Component
Checkout
Procedures”
on page 4-10)
Replace isolated bad
amplifier
(see ”Removing and
Replacing Circuit
Boards” on page 5-9)
FIXED
Power Up PC
and F6300
VFD = Vacuum Fluorescent Display
YES
(LED STATUS
Is any 350V
LED OFF?
NO
OK)
Check RS/232 or Ethernet Cable
(see ”Resolving Communications
Problems” on page 4-11)
B
Check the device
setting in Control
Panel / System
Device Manager.
Resolve any
conflicts in
Windows
Cable
OK?
Is the VFD
status OK?
Troubleshooting Flow Charts
4-2 72A-2337-01 Rev. B 11/05
Figure 4.1 Troubleshooting Flowchart Part 1

Table of Contents

Related product manuals