EasyManua.ls Logo

Okuma OSP-P20L - Application of LAP Function

Okuma OSP-P20L
364 pages
Print Icon
To Next Page IconTo Next Page
To Next Page IconTo Next Page
To Previous Page IconTo Previous Page
To Previous Page IconTo Previous Page
Loading...
5238-E P-232
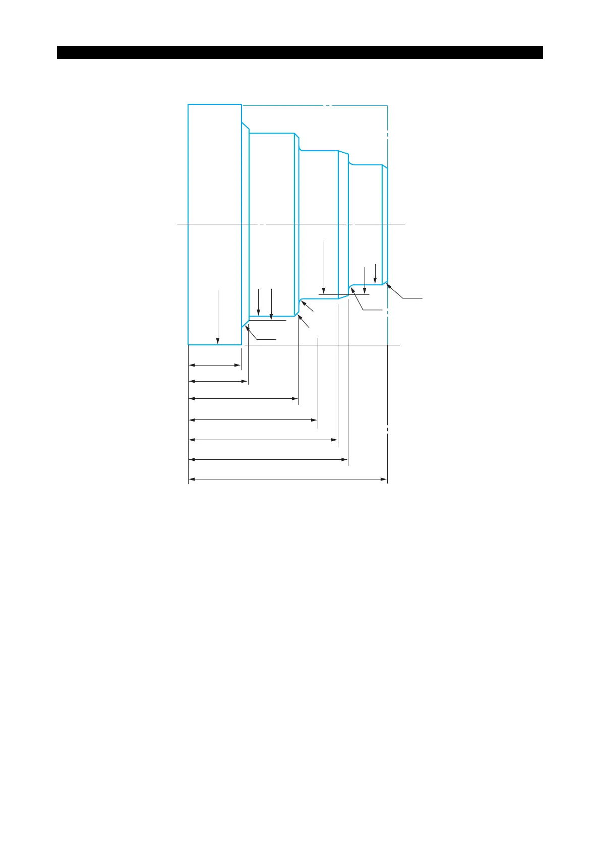
SECTION 8 LATHE AUTO-PROGRAMMING FUNCTION (LAP)
11. Application of LAP Function
LE33013R0301000320001
120φ
92φ
96φ
M74 P15
71φ
60φ
3C
3R
3C
27
30
55
65
75
80
100
2R
1.5C

Table of Contents

Related product manuals