EasyManua.ls Logo

Sabio 2010D - Comparison of Linearization Methods

Sabio 2010D
182 pages
Print Icon
To Next Page IconTo Next Page
To Next Page IconTo Next Page
To Previous Page IconTo Previous Page
To Previous Page IconTo Previous Page
Loading...
Internal Calibrations Page 8-
4
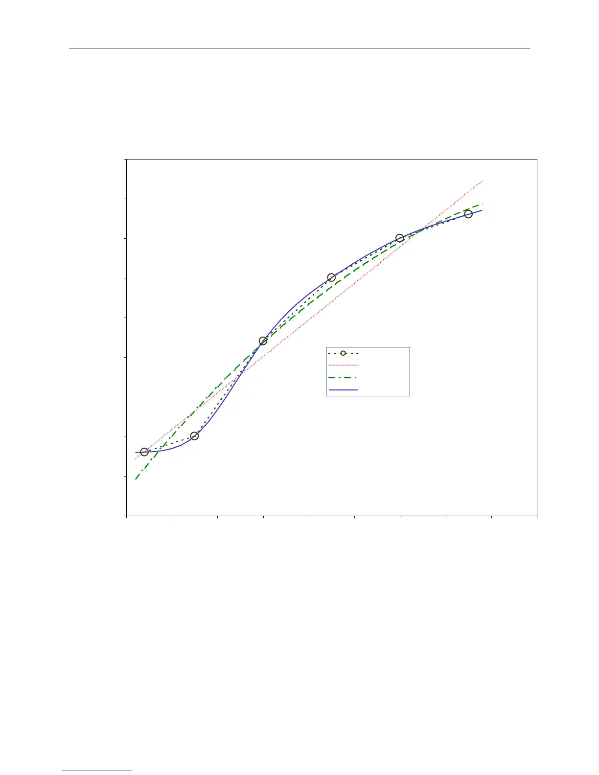
Figure 8-1 Comparison of Linearization Methods
Comparison of Different Curve Fit Techniques on Ozone Data
(Non-linearity is exaggerated for clarity)
0
50
100
150
200
250
300
350
400
450
0 0.5 1 1.5 2 2.5 3 3.5 4 4.5
Voltage
Ozone (PPB)
Lookup Table
Linear Fit
Polynomial Fit
Spline Fit

Table of Contents

Other manuals for Sabio 2010D