EasyManua.ls Logo

Schleich GLP2-i/e - 5.1.5 Programming menu

Schleich GLP2-i/e
81 pages
Print Icon
To Next Page IconTo Next Page
To Next Page IconTo Next Page
To Previous Page IconTo Previous Page
To Previous Page IconTo Previous Page
Loading...
Safety and Functional Tester GLP2-i/e
During the test, test object and test leads must not be touched!
The safety measures required by law must be adhered to!
Schleich GmbH * D-58675 Hemer * 0049 / (0)2372 / 9498-0 * 0049 / (0)2372 / 9498-99 *
http://www.schleich.com * info@schleich.com 27
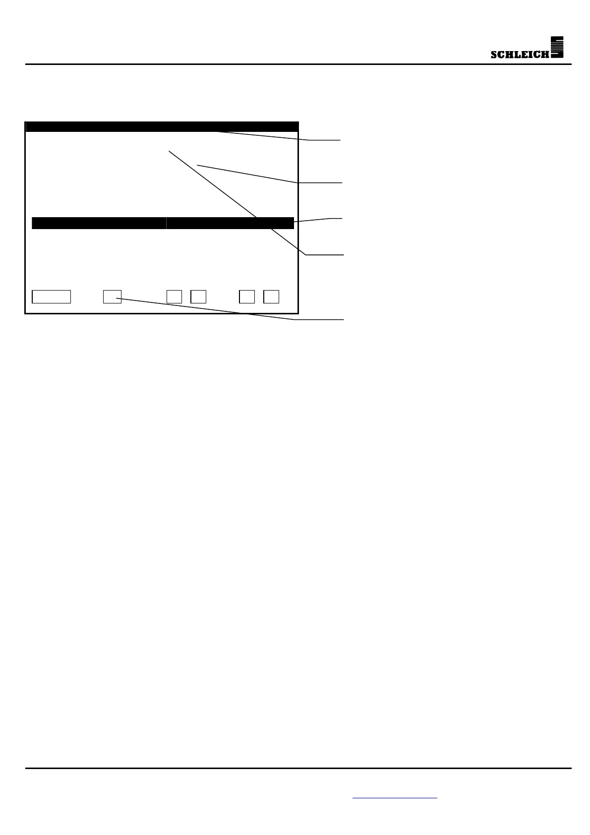
5.1.5 Programming menu
In this menu, you can change set values or the settings of the tester.
General data
Start with probe...: off
Start saf. Switch..: off
Safety ISO.........: off
Contin. Function...: off
no go buzzer.......: on
Voltage control....: once
Repeat if no go....: 1
Shrt.circ.resis....:
100
VIS switch for go..: Probe switch
Enter ?
- +
Title of the menu
Current position of the cursor
Variable parameters
With the help button you can open
help texts for the points of the menu.
This facilitates the operation of the
device.
The arrows indicate, whether the
menu has additional lines that are
not visible on the display.

Table of Contents