EasyManua.ls Logo

Sungrow SH5K - Page 60

Sungrow SH5K
113 pages
Print Icon
To Next Page IconTo Next Page
To Next Page IconTo Next Page
To Previous Page IconTo Previous Page
To Previous Page IconTo Previous Page
Loading...
7 Commissioning User Manual
52
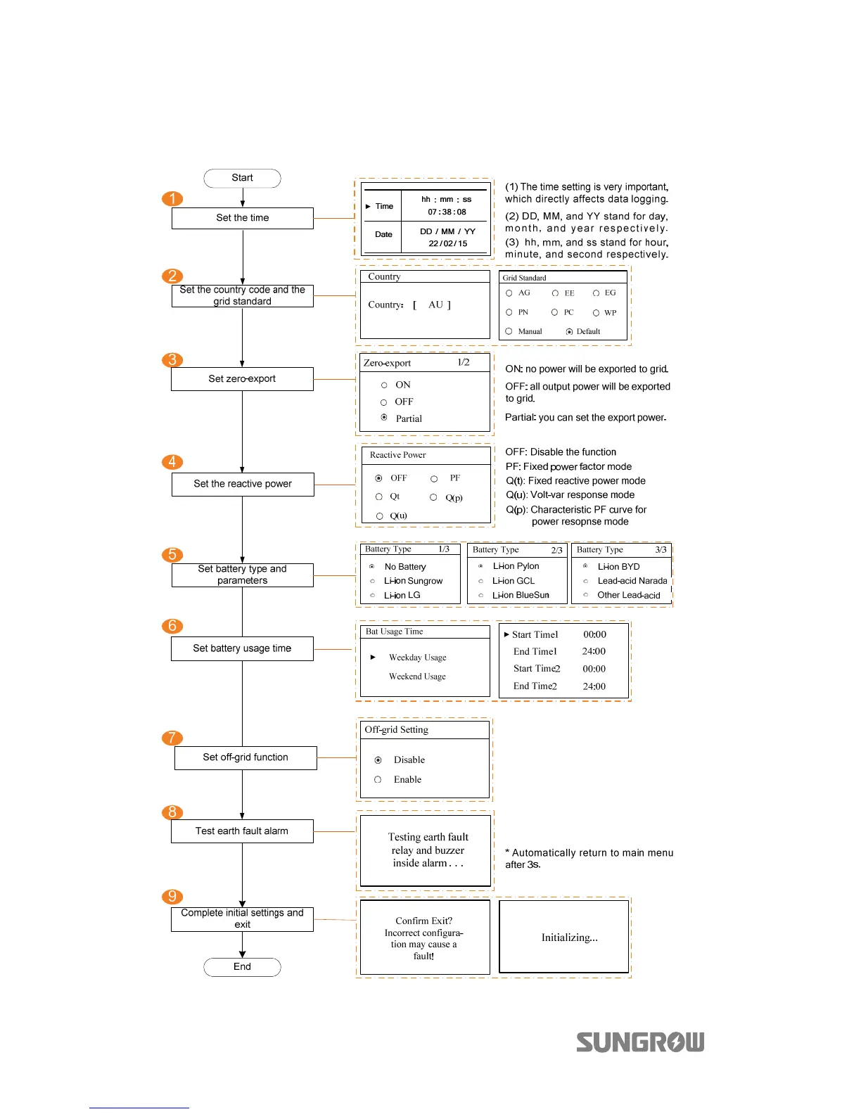
6. Refer to Fig. 7-1 for button operations and complete all initial settings
according to the procedure in Fig. 7-2.
Fig. 7-2 Procedure for Initial Settings

Table of Contents

Other manuals for Sungrow SH5K

Related product manuals