EasyManua.ls Logo

Toradex Verdin - Page 87

Toradex Verdin
111 pages
Print Icon
To Next Page IconTo Next Page
To Next Page IconTo Next Page
To Previous Page IconTo Previous Page
To Previous Page IconTo Previous Page
Loading...
Verdin Carrier Board Design Guide
Preliminary Subject to Change
Toradex AG l Ebenaustrasse 10 l 6048 Horw l Switzerland l +41 41 500 48 00 l www.toradex.com l info@toradex.com
Page | 87
3.5.5.1 Avoid Multiple Power Domains
The best solution for preventing backfeeding is trying to avoid having different power domains. If
the peripheral rails are turned off together with the Verdin module's IO rails, backfeeding cannot
happen. This can be accomplished by using the output rail PWR_1V8_MOCI for powering the
peripherals. The PWR_1V8_MOCI is designed to be turned on together with the IO rails on the
Verdin modules. The same is achievable by using the CTRL_PWR_EN_MOCI signal for switching
peripheral rails on the carrier board.
Both Verdin module outputs, the PWR_1V8_MOCI, and CTRL_PWR_EN_MOCI have been
introduced with backfeeding prevention in mind. It is recommended to use these signals on a
custom carrier board.
Figure 73: Keep the peripherals on the same Domain
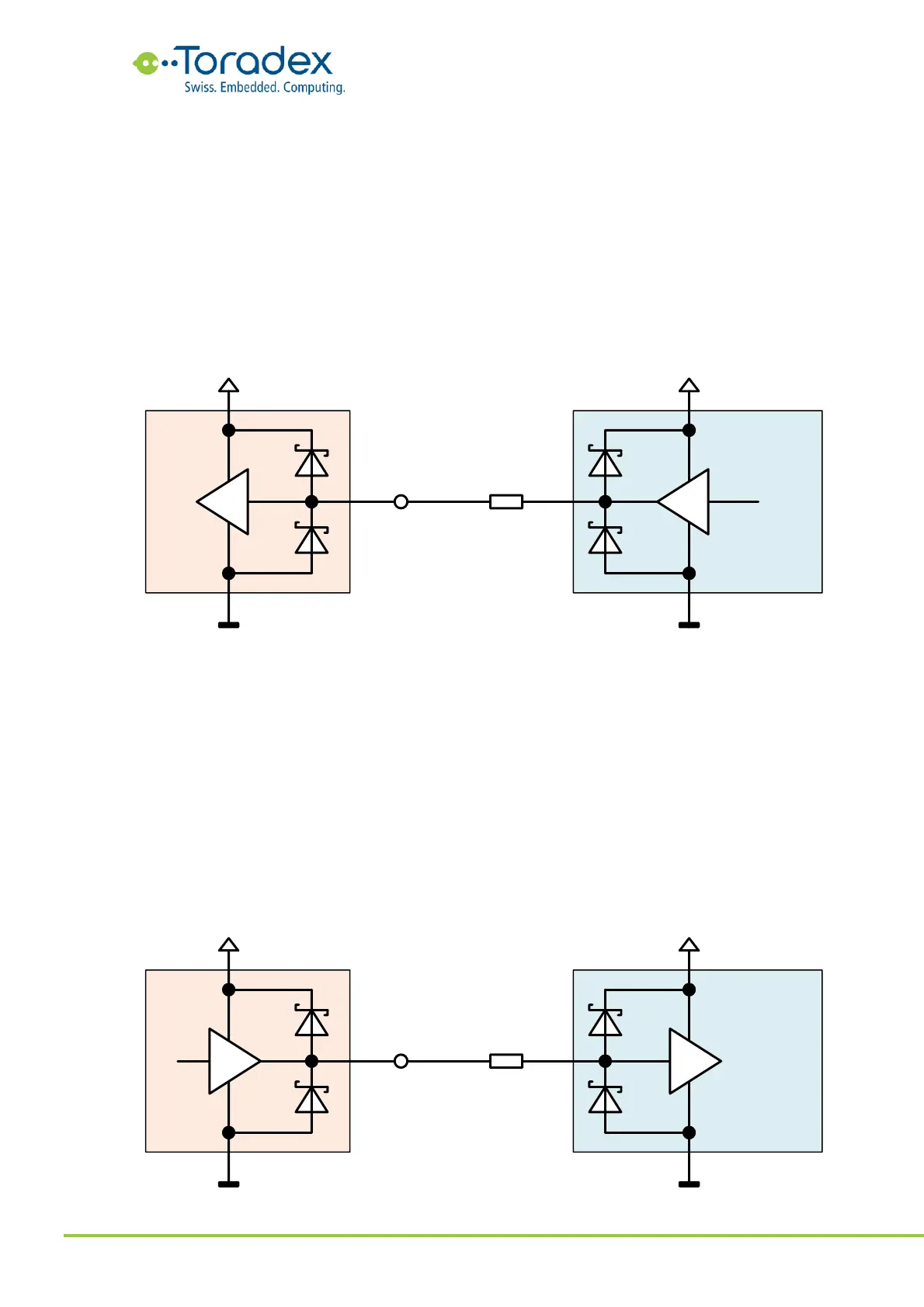
3.5.5.2 Avoid Driving Outputs High
Backfeeding can be prevented by ensuring the output pin is not driven high while the IO rail of the
input side is powered off. This is a standard solution for preventing backfeeding from the module
to peripheral devices. Before disabling the peripherals' power rails (for example, when going into
sleep mode), the software makes sure that the output signals are either driven low or set into a
high-Z mode. Some SoC pins have internal pull-up resistors. It is also important to switch off the
pull-up resistors and optionally enable the pull-down resistor.
An example of this backfeeding prevention solution is the SD card interface of the Verdin module.
The SD card signals feature pull-up resistors, either located inside the SoC or on the Verdin
module. The SD card driver needs to disable the pull-up resistors (or its power rail) when disabling
SD_1_PWR_EN.
Figure 74: Make sure outputs are not driven high
PeripheralSoC
IO Rail (off)
RX
Module Pin
Peripheral Rail (off)
TX
22R
0V 0V
0V0V
PeripheralSoC
IO Rail (on)
TX
Module Pin
Peripheral Rail (off)
RX
22R
1.8V 0V
0V0V
Low

Table of Contents

Related product manuals