EasyManua.ls Logo

Vaz 21213 - Shock-Absorber - Inspection of Components; Shock-Absorber Dismantle and Reassembly

Vaz 21213
222 pages
Print Icon
To Next Page IconTo Next Page
To Next Page IconTo Next Page
To Previous Page IconTo Previous Page
To Previous Page IconTo Previous Page
Loading...
speed of 60 min
-1
, rod stroke length of 80 mm for the front shock-
absorber, and 100 mm - for the rear one.
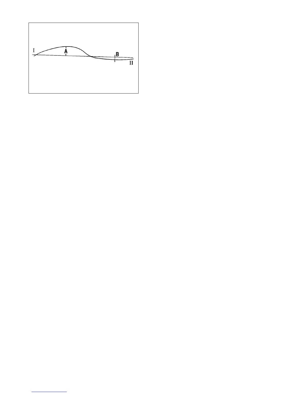
The curve of the diagram (fig. 4-19) should be smooth, and
in points of transition (from the recoil stroke to the compression
stroke) - without areas parallel to zero line.
Evaluation of diagram results. The resistance of recoil and
compression strokes is defined by the peaks of the appropriate
diagrams.
The highest point of the recoil stroke curve, with the scale of
1 mm = 47 N (4.8 kgf), should be on the A distance from the zero
line, and equal to: 25-32 mm - for front shock-absorbers, 23.5-
30.5 mm - for the rear ones.
The highest point of the compression stroke curve, with the
same scale, should be on the B distance from the zero line, and
equal to 3.5-6.5 mm - for front shock-absorbers, 4.5-7.5 - for the
rear ones.
The ordinate control points on the diagrams of front and rear
shock-absorbers are given for cold shock-absorbers at shock-
absorber liquid temperature (20±5) °C.
After checking, remove the shock-absorber from the test-
bench, overhaul or renew the components if necessary.
Repeat the tests to ensure the shock-absorber efficiency.
Shock-absorber - dismantle and reassembly
After washing fix the shock-absorber in vice.
Note. Special grips 67.7824. 9513-001 are used to fasten the
shock-absorber and its components in vice.
Fully extend the shock-absorber rod, undo tank nut 29 (see
fig. 4-18) with key A.57034/R, take out from the tank the slave
cylinder 21 in assembly with the rod and compression valve 2.
Remove the tank from vice and drain liquid.
Using key 67.7824.9513-005 take out the rod guide bush 23
from the slave cylinder. Take out from the cylinder rod 20 com-
plete with piston 10 and drain the liquid. Carefully, using a spe-
cial tool, punch out from the cylinder the compression valve 2
housing in assembly with other components.
Place the rod in assembly with the piston in grips, fix in vice
and undo the recoil valve nut 8. Remove piston 10 with valves
(bypass and recoil), rod guide bush 23, rod sealing 26, sealing
race 25 and other components.
Note. To facilitate the inspection of the rod in the front sus-
pension shock-absorber it might be helpful to press off the cover
from the rod.
To dismantle the compression valve, first remove race 6, and
then sequentially take out from case 2 spring 5, plate 7 and valve
discs 4 and 3.
The reassembly of the shock-absorber is carried out in
reverse sequence, paying attention to the following:
- after the reassembly of the compression valve ensure the
free play of plate 7 and valve discs;
- race 6 is press fitted on case 2 with special tool;
- the compression valve is press-fitted in the cylinder using
tool 67.7824.9513-004;
- to facilitate the reassembly of components located on the
rod, use guide 67.7824.9513-003;
- the throttle disc 15 of the front shock-absorber has two
grooves on the outer diameter, and the rear shock-absorber
throttle disc - three;
- the recoil valve nut is tightened with torque of 11.76-15.68
N•m (1.2-1.6 kgf•m);
- the tank nut is tightened with key 67.7824.9513-002 to
torque 68.6-88.2 N•m (7-9 kgf•m).
Inspection of components
Wash the metal components and dry, wipe the rubber com-
ponents with clean cloth and wash in warm water.
Carefully inspect the components, paying attention to the fol-
lowing:
- the compression and feedback valve discs, and the bypass
valve plate should not be deformed; the nonflatness of the
bypass valve plate is allowed no more than 0.05 mm;
- the working surfaces of the piston, the piston ring, the rod
guide bush, cylinder and the valve components should have no
scuffings and dents that might affect normal operation of the
shock-absorber;
- the recoil and compression valve springs should be tense
enough and not damaged ;
- the compression valve discs should not be damaged and
should have no significant wear;
- it is recommended to renew the sealing at repair.
Replace all damaged components and start to reassemble
the shock-absorber.
113
Fig. 4-19. Shock absorber operating curve:
I - force at recoil stroke; II - force at compression stroke

Table of Contents

Related product manuals