EasyManua.ls Logo

ARxIUM FastPak EXP - Specifications

ARxIUM FastPak EXP
184 pages
Print Icon
To Next Page IconTo Next Page
To Next Page IconTo Next Page
To Previous Page IconTo Previous Page
To Previous Page IconTo Previous Page
Loading...
FastPak EXP Operating Manual 161
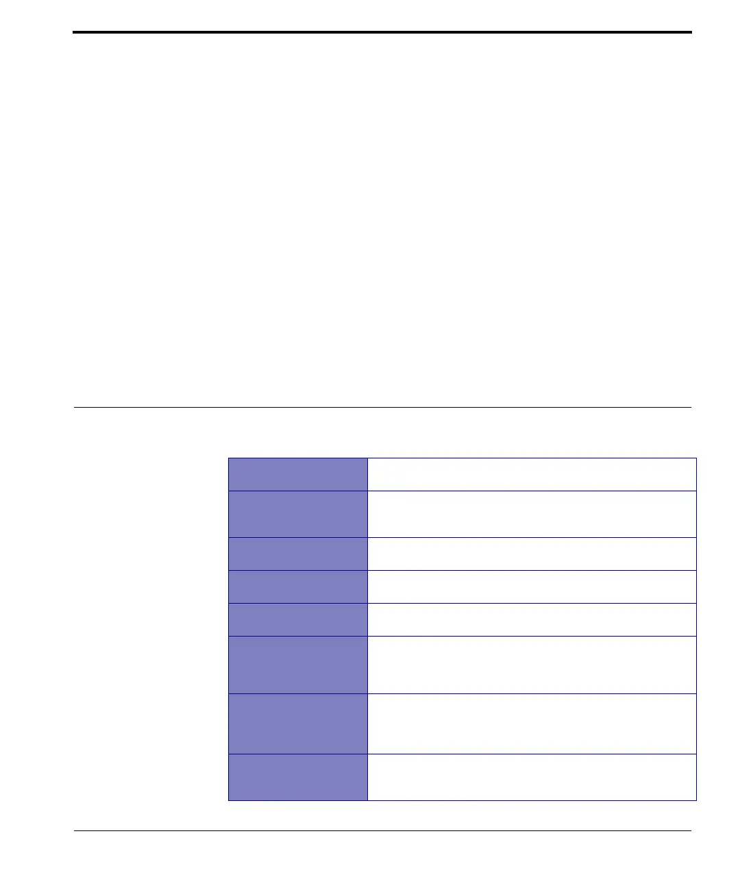
10 Specifications
Standard
UL 3101-1
Weight without
canisters
1234lb. (560kg)
Height
80” (2030mm)
Width
41” (1030mm)
Depth
31” (788mm)
Powered from
10’ three-pronged, grounded electrical cord to a
dedicated 20
amp 120 VAC single phase network
with a neutral and ground connection receptacle.
Input current
operating
amperage
3.8 A Max. 437 W, outlet max. 300 W
Number of
canisters
320

Table of Contents