EasyManua.ls Logo

decaWave DW1000 - IC Calibration - Transmit power and spectrum

decaWave DW1000
242 pages
Print Icon
To Next Page IconTo Next Page
To Next Page IconTo Next Page
To Previous Page IconTo Previous Page
To Previous Page IconTo Previous Page
Loading...
DW1000 User Manual
© Decawave Ltd 2017
Version 2.12
Page 203 of 242
Enable CW mode:
Set
Sub-Register 0x2A:0C TC_PGTEST to 0x13 to enable Continuous Wave (CW) Test Mode.
Set trim register to mid-range setting, e.g. 0x0F, whilst maintaining the required reserved values in the most
significant bits of the register, see reserved field notes for Sub-Register 0x2B:0E FS_XTALT:
Set Sub-Register 0x2B:0E FS_XTALT to 0x6F.
While monitoring the CW frequency, adjust the trim register (5 bits) until the desired frequency is obtained.
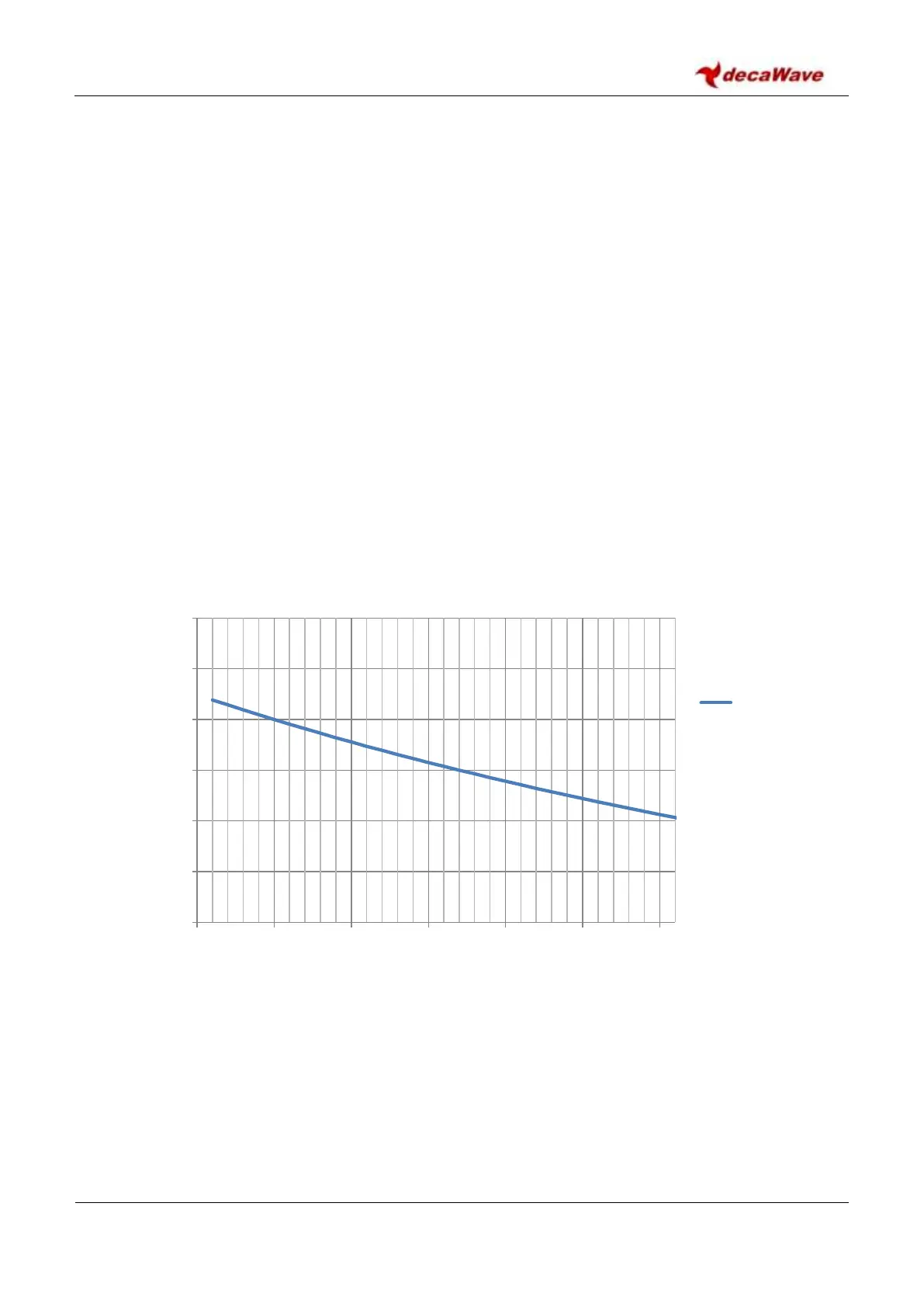
Figure 30 shows that the trimming is typically linear and usually the final value is reached with just one or
two adjustments.
The crystal trim value should then be stored on the OTP memory, see section 6.3.2 Programming a value
into OTP memory for details of how to program OTP memory and recommended memory locations.
In DW1000 applications using crystal trimming, the calibrated crystal trim value should be read by the
application from OTP memory as part of setup and programmed into the Sub-Register 0x2B:0E FS_XTALT.
This register is preserved in the AON memory as long as the IC is powered. This facilitates the use of the trim
value when the IC wakes up from SLEEP or DEEPSLEEP modes.
Figure 29: PPM vs Crystal Trim Setting, V
BATT
= 3.3 V
8.2 IC Calibration Transmit power and spectrum
In order to maximise range, DW1000 transmit power spectral density (PSD) should be set to the maximum
allowable for the geographic region of deployment. For most regions this is -41.3 dBm / MHz. DW1000 is
-60.00
-40.00
-20.00
0.00
20.00
40.00
60.00
0 5 10 15 20 25 30
PPM
Trim Code
3.3V

Table of Contents