EasyManua.ls Logo

DMC Sigma2N - Page 101

DMC Sigma2N
166 pages
Print Icon
To Next Page IconTo Next Page
To Next Page IconTo Next Page
To Previous Page IconTo Previous Page
To Previous Page IconTo Previous Page
Loading...
Simga2N Traction Advanced Manual V1.3 Page 101 (166) ©2021 DMC GmbH Herten Germany
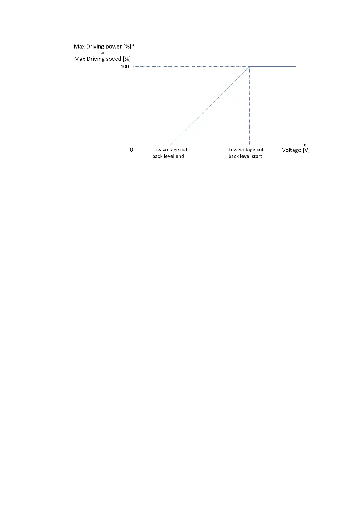
Low voltage limit
The low voltage limit is the absolute limit of the controller and the motor. When the voltage is below this level,
the controller will immediate stop driving (and braking) the motor (stops with giving power to the motor) and
will report an error F17.
Parameters
The controller will have a set of parameters with which the low voltage cut back can be tuned. The controller
itself must be protected at all times, thus there is a lower limit which cannot be altered. The parameters can
only be tuned ‘up’ to protect the battery and motor of the user.
The parameters are:
Low voltage cut back start threshold
Low voltage cut back end threshold
Low voltage error threshold
The location, unit, range and step size of these adjustments can be found in the “Menu 5 “Limits Setup””.
M5.3-4 High voltage cutback start level “HVCBstrt”
M5.3-5 High voltage cutback end level “HVCBend”
M5.3-6 High voltage error level “HVerror”
High voltage occurs when the battery is fully charged. Or when a large power (current) surge to the battery
occurs, for example, the vehicle is braking hard.
High voltage cut back
When the voltage is getting high, the controller will limit the power delivered to the battery. It will do this by
cutting back the maximum brake power with a percentage as shown in the graph below. Only brake power is
cut. Drive power is not cut.
When there is no cut back, the maximum brake power is 100 %.
When the cut back is 100 %, the maximum brake power is at 0 %.
The brake maximum power is the power that is available to the user. As long as the user doesn’t use this brake
power, it will not be noticed. But when the user demands more brake power, the brake power is limited to the
maximum brake power available. When this occurs, the Status menu of the controller shows the ‘HV’ limit. Also
the error F04 is displayed during high voltage cut back.
The maximum brake power limit will run from 100 % (no cut back) to 0 % (full cut back). This is displayed also
in the Status Menu at “BrakeTqLim”.

Table of Contents

Related product manuals